menu
search
Поиск
quiz
Пакеты
casino
Случайный пакет
group
Люди
timer
Таймер
help_center
О сайте
bug_report
search
login
Вопрос 13
Синхрон Мишеля Матвеева
· март 2017
Тур 1
·
Мишель Матвеев
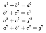
Раздаточный материал:
share
Одна из нерешенных задач математики — это задача о нахождении решения розданной вам системы уравнений в натуральных числах. Какой известный с древности предмет фигурирует в названии этой задачи?
Показать ответ
expand_more
thumb_up
0
thumb_down
0
bookmark_border