XV Чемпионат Санкт-Петербурга (2013)·Тур 10· 10 тур. "Лимпопо"

Команда благодарит за тестирование и ценные замечания Александра Ведехина, Дмитрия Когана, Максима Мерзлякова, Андрея Солдатова, Наиля Фарукшина, Алексея Баева, Евгению Канищеву, Павла Гольдина, Сергея и Ирину Шиховых.
Раздаточный материал:
"Мне, напротив, следовало бы сначала усыпить подозрения ваши, и виду не подать, что я об этом факте уже известен; отвлечь, этак, вас в противоположную сторону, да вдруг, [пропуск], и огорошить: "А что, дескать, сударь, изволили вы в квартире убитой делать в десять часов вечера..."
Заполните пропуск в розданной вам цитате.
В романе Дюма Людовик XIV приказывает придворному проводить себя в комнату мадемуазель де Лавальер. Тот говорит, что нужно найти подходящий предлог для посещения. Король отвечает, что не нуждается в предлоге, и цитирует другого монарха. Напишите первые три слова этой цитаты.
Возникший в конце XVI века метод неделимых позволил с легкостью вычислять площади и объемы тел, в отличие от гораздо более трудоемких классических методов. Торричелли, противореча высказыванию другого математика, сравнил метод неделимых с НЕЙ. Назовите ЕЕ двумя словами.
На карикатуре, опубликованной в мае 2013 года, изображены два поверженных быка, один из которых белого цвета. Рядом стоят два тореадора с одинаковыми разноцветными мулетами. Назовите цвета этих мулет.
История ЭТОГО в современном виде начинается с XVII века, после того как Фердинандо I Медичи запретил бои быков. Забавно, но в ЭТОМ Черепаха и Улитка намного успешнее, чем Жираф или Пантера. Назовите ЭТО.
По легенде, история института папства началась с апостола Петра. Первым Папой после Петра был Линус, вторым — Клет, после него правил Климент I, потом Эварист, затем — Александр I. Назовите преемника Александра.
В произведении Вашингтона Ирвинга один из персонажей говорит, что любовь — это "мучение для ПЕРВОГО, счастье для ВТОРЫХ и вражда для ТРЕТЬИХ". Напишите три слова, которые мы заменили в этом вопросе.
Внимание, в вопросе есть замены. В одной компьютерной игре АЛЬФА БЕТА — политическая партия землян, занимающая жесткую позицию в вопросах ограничения инопланетного влияния. БЕТА "АЛЬФА" в Петербурге занимается недвижимостью и инженерно-геодезическими работами. Назовите латинские слова, которые мы заменили на АЛЬФУ и БЕТУ.
По одной из версий, красный цветок был привезен в XIII веке в Прованс с мусульманского востока графом Шампани. Через сто с лишним лет другой граф, увидев цветок, пленился его красотой и увез к себе на родину. Назовите этого графа.
Говард Картер относился к проклятью фараонов скептически. При этом после вскрытия гробницы Тутанхамона он написал в дневнике, что впервые за 35 лет работы в пустыне встретил ЕГО необычного вида. Согласно Википедии, война в Хорватии вынудила ИХ мигрировать на север. Назовите ИХ.
Раздаточный материал:
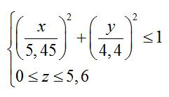
Вопрос 11 Раздаточный материал
Перед вами система неравенств, с некоторой точностью определяющая ЕГО форму. Рельеф местности в прилегающей к НЕМУ части парка изменен в целях безопасности. Назовите ЕГО двумя словами.
Герой детектива Грэма Грина приходит к знакомому и спрашивает его, который час. Отвечая, хозяин дает собеседнику понять, что тому лучше поискать в другом месте. Ответьте одним словом, что именно.
Раздаточный материал:
сир Барристан Селми: "... а зовут меня Арстан, хотя Бельвас в пути нарек меня Белобородым...". сир Джорах Мормонт: "... перед вами сир Барристан Селми...". Дейенерис: "Как видно, в Вестеросе все ПЕРВЫЕ ... ВТОРЫЕ".
Перед вами реплики героев Джорджа Мартина. По мнению автора вопроса, "ПЕРВЫЕ — ВТОРЫЕ" — оксЮморон. Напишите в правильном порядке слова, которые мы заменили на "ПЕРВЫЕ" и "ВТОРЫЕ".
С помощью чего прикуривает от печки герой романа Ремарка, действие которого происходит в первой половине 20-х годов прошлого века?
В заметке о финале Кубка Лиги, в котором "Суонси" разгромил "Бредфорд" со счетом 5:0, журналист "Гардиан" пишет, что представитель "Лиги 2" даже не успел достать ЕЕ. Назовите ЕЕ.
60