14-й Чемпионат Тель-Авивского клуба·Тур 6· 7 тур. "Дилетанты"

Вопросов
306
Начало
Окончание
Опубликован
Редактор · Тимур Барский
Команда благодарит за тестирование команду "Тачанка" (Ростов), команды Пражского клуба знатоков, команду "40 в тени" (Беер-Шева), команду "Musa" (Москва), Александра Темерева, Людмилу Розанову, Алексея Медведева, Дарью Ротар (все - Италия), Алису Пивоварчик (Одесса), а также Сергея Ефимова (Волгоград - Москва) и Наиля Фарукшина (Навои) за помощь в редактировании пакета.
Согласно известному утверждению, ЭТО может послужить основным ингредиентом для салата. Мы бы хотели сохранить тишину в зале и не станем спрашивать вас, что сделал, используя этот ингредиент, один англичанин. Мы лишь хотим увидеть это на ваших бланках для ответов.
В романе Роберта Харриса акварий Аттилий, приглашенный выяснить причину гибели рыбы в садках, обнаруживает примеси в воде из акведука Августа. Назовите город, фигурирующий в названии романа.
В рекламном ролике одной автомобильной компании подчеркивается невероятная надежность ее продукции. Отмечается, что каждая из систем тестируется дважды, то есть проверяется и перепроверяется. А как называется эта компания?
Историк Владимир Невежин, говоря о разработке планов наступательной войны СССР с заведомо более слабым противником вроде Финляндии или Польши, упоминает картину русского художника второй половины XIX века, заменив в ее названии две буквы. Напишите этот измененный вариант.
Вопрос задает Уинстон Черчилль. Во время Второй мировой войны лондонское радио, вещавшее на оккупированную Европу, использовало в качестве позывных начальные такты известного классического музыкального произведения. Напишите название этого произведения и его автора.
Раздаточный материал:
Рисунком для России непременным, Орнаментом, узором и [******], Изменчивым мотивом неизменным По кружеву судьбы идет [******].
Прослушайте гарик Игоря Губермана, в котором мы сделали два пропуска: "Рисунком для России непременным, Орнаментом, узором и ПЕРВЫЙ ПРОПУСК, Изменчивым мотивом неизменным По кружеву судьбы идет ВТОРОЙ ПРОПУСК". Заполните оба пропуска, отличающиеся друг от друга одной буквой.
Жительница Лондона Рут Бельвиль, продолжая дело своих родителей, каждое утро, вплоть до 1940 года, отправлялась в одно и то же место, после чего посещала своих клиентов. Можно сказать, что она торговала ИМ. "Торговцы ИМ" — известный фантастический роман Андрэ Нортон. Ответьте абсолютно точно, какое место, находящееся в нескольких милях от ее дома, она посещала каждое утро.
Вопреки ее названию, в 1915 году в ее состав входили один вахмистр, двенадцать урядников, один трубач, один фельдшер и сто двадцать... Кого?
Юбилейный эфир телеканала "Дождь" был озаглавлен двумя словами, начинающимися на одну и ту же букву. Хотя, возможно, у придумавшего этот заголовок просто был насморк [ведущему: произнести в нос как "дасморг"]. Воспроизведите этот заголовок.
Во время "арабской весны" тунисские интернет-пользователи придумали персонажа по прозвищу Аммар ПРОПУСК, который якобы был ответственен за разгул политической цензуры. А греки во время протестов 2011 года упоминали ПРОПУСК в слогане, утверждавшем, что в их стране невозможно найти демократию. Напишите три символа, которые мы заменили на ПРОПУСК.
В вопросе словами "СДЕЛАЕТЕ ЭТО" заменено словосочетание. В одном англоязычном варианте этого поверья, если вы СДЕЛАЕТ ЭТО, то наверняка пожалеете об этом дне. В другом англоязычном варианте, если вы СДЕЛАЕТЕ ЭТО, то закончится дело ненавистью. А что, согласно русскому варианту, произойдет с вами, если вы СДЕЛАЕТЕ ЭТО?
В одном из слов вопроса мы заменили одну букву и еще одну добавили, чтобы усложнить вопрос для знатоков латыни. В трилогии Сьюзен Коллинс "Голодные игры" в государстве Панама каждый год проводятся игры, в которых выбранные случайным образом девушки и юноши сражаются на арене, пока только один из них не останется в живых. Напишите в переводе на русский язык фразу, от которой пошло название этого государства.
Кварц, полевые шпаты, слюда, магнетит, ильменит. Назовите всё вышеперечисленное тремя словами, которые лишь двумя первыми буквами отличаются от названия экранизации 1971 года.
Наверно, не многим из вас известно, но Гитлер, кроме "Майн Кампф", написал еще и вторую книгу, опубликованную только в 1961 году. Напишите название второй книги Гитлера на русском или языке оригинала.
Раздаточный материал:
1. На сайте российской компании "DMS Consulting" в числе предлагаемых услуг упоминаются регистрация недвижимости в соответствующих реестрах, управление всеми видами актов и документов, а также оформление <...>. 2. Екатерина Лачинова в своей книге, вышедшей в конце XIX века, пишет: "И кого вы найдете в этом трактире? И военных всех мундиров, и разжалованных, и статских, и монахов, и мещан, и столичных модниц, и толстых <...>".
На сайте российской компании "DMS Consulting" [ди-эм-эс консалтинг] в числе предлагаемых услуг упоминаются регистрация недвижимости в соответствующих реестрах, управление всеми видами актов и документов, а также оформление [ПРОПУСК]. Екатерина Лачинова в своей книге, вышедшей в конце XIX века, пишет: "И кого вы найдете в этом трактире? И военных всех мундиров, и разжалованных, и статских, и монахов, и мещан, и столичных модниц, и толстых [ПРОПУСК]". Заполните любой из пропусков.
Альберто Анджела в своей книге описывает такой случай. Якобы один сенатор пришел к своим коллегам с корзиной свежего инжира, и начал свое выступление так [начало цитаты]: "Когда, по-вашему, собраны эти фрукты? Так вот, они собраны всего три дня назад. Таково расстояние, которое отделяет врага от наших стен" [конец цитаты]. Рассказывают, что после этого требования сенатора, наконец, были удовлетворены. Назовите имя этого сенатора.
Sedia gestatoria [сЭдия гестатОрия] — это переносной трон римских пап. Однако Альберто Анджела в своей книге пишет, что название sedia gestatoria также использовалось в Древнем Риме для предмета, которым ни один папа не мог бы воспользоваться по назначению, а если бы смог, то в наше время он стал бы существенно богаче. Назовите этот предмет двумя словами.
Согласно шутке, можно узнать профессию человека, спросив у него, что противоположно единице. Если он ответил "ноль" — то он программист, "минус один" — инженер, "бесконечность" — философ, "отсутствие единицы" — заведующий складом, "пятерка" — учитель, "Троица" — богослов, и так далее. А какова, согласно этой шутке, профессия человека, который на этот вопрос буквально ответит "семь"?
Внимание, в вопросе есть обмен. Родившийся в 1942 году Стивен Хокинг пишет, что Оксфорд, где он родился, наряду с Кембриджем был, в отличие от Лондона, хорошим местом для рождения из-за двух немецких причин. Назовите эти причины, в русском варианте начинающиеся на одну букву.
В крепостях Каракалпакии для получения ПЕРВОГО использовали масло с соломой, а для получения ВТОРОГО — кишки животных, жир и солому. Назовите словом латинского происхождения то, во время чего используют ПЕРВЫЙ и ВТОРОЙ, при этом сейчас ПЕРВЫЙ сопровождают звоном колоколов, чтобы избежать недоразумений.
Раздаточный материал:
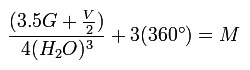
Вопрос 21 Раздаточный материал
[Ведущему: концовку вопроса прочитать так, как будто это случайное уточнение: эМ... буквой эМ.] В 1970-х годах на различных рекламных носителях появилось изображение розданной вам формулы, каллиграфически выведенной красивой авторучкой. Это была реклама ручки "Паркер", но сама формула не имела прямого отношения к ручкам. Мы не просим вас расшифровать все компоненты этой формулы. Скажите только, что обозначено M... буквой М.
Греческие мифы рассказывают о Пенфее, царе, разорванном вакханками на части. У Петрония встречается выражение "Пенфеево ОНО". Необычное ОНО упоминается в критической статье советского времени. Назовите ЕГО одним словом.
На картине Пьетро Лоренцетти "Тайная вечеря", в левой части картины, на кухне, слуга протирает блюдо талесом — еврейским молитвенным облачением. Петр Вайль замечает [начало цитаты]: "Здесь остро, полемически и броско, как в политическом плакате, подчеркивается служебная роль ПЕРВОГО по отношению к пришедшему ему на смену ВТОРОМУ" [конец цитаты]. Назовите ПЕРВЫЙ или ВТОРОЙ двумя словами.
Анатолий Сухотин в своей статье относит к НИМ врача Коперника, юриста Браге, физика Кавендиша, химиков Дэви и Пастера. Назовите ИХ словом итальянского происхождения.
[Разминка] Знакомая автора вопроса обнаружила, что в детской игре "Перевертыши", состоящей из карточек с антонимами, ивритские слова "далекий" и "близкий" проиллюстрированы одним и тем же животным. На одной карточке оно находится ближе к зрителю, а на другой — дальше. Вряд ли это просто совпадение. Назовите это животное.
[Перестрелка] По одной из распространенных версий, смерть во младенчестве Хуана де Арагона и де Фуа в 1509 году дала жизнь ЕМУ. Назовите ЕГО двумя словами.
[Перестрелка] По мнению гуру Падмасамбхава, в состав АЛЬФЫ входит, в частности, следующее: пена из пасти разъяренного слона, яд из жала ядовитой змеи, мед злой пчелы, слюна из пасти бешеной собаки и т.д. Назовите абсолютно точно оба компонента АЛЬФЫ, согласно ГОСТу.
[Перестрелка] Согласно версии, изложенной Борисом Брестовицким, ИКС из популярной песни Шалома Ханоха на самом деле является известным в то время торговцем наркотиками. Тем самым Брестовицкий некоторым образом подтверждает высказывание, ставшее широко известным из публикации 1844 года. Назовите ИКСА.
60