Чемпионат мира по ЧГК (Цахкадзор, Армения, 2016)·Тур 2· Отборочный этап. 2 тур

Вопросов
112
Начало
Окончание
Опубликован
Редактор · Андрей Абрамов
Редактор благодарит за тестирование Сергея Абрамова, Екатерину Беленко, Анну Гнилицкую, Григория Малыхина, Даниила Пахомова, Андрея Скиренко, Максима Манжосина (все - Ростов-на-Дону). Отдельная благодарность Константину Кнопу и Андрею Айзенбергу.
В 2007 году британцы увидели ЕЕ с Полом Маккартни, но такое нарушение традиций уже никого не возмутило. Сам Маккартни по этому поводу заявил, что ему нравится, когда его облизывают. Назовите ЕЕ двумя словами.
С 1898 года этот композитор присутствовал в репертуаре Шаляпина, причем кроме Шаляпина никто другой много лет его не пел. А партнеры Шаляпина менялись: это были тенора Шкафер, Давыдов, Севастьянов. Назовите этого композитора.
У автора вопроса есть экономный знакомый, который намерен приобрести четырнадцать этих предметов и попеременно пользоваться ими всю жизнь. Среди предметов не должно быть двух одинаковых. Назовите этот предмет.
Раздаточный материал:
Вопрос 4 Раздаточный материал
Перед вами экспонаты дома-музея, расположенного в бывшей столице государства. Назовите владельца этих предметов.
При съемках советского фильма использовали материал, применяемый при изготовлении дорожных знаков. А чтобы снять гибель заглавной героини, из-под нее выдергивали лист фанеры. Назовите это героиню.
Эпиграф: Суди люди, суди бог, как же я любила — По морозу босиком к милому ходила. Валенки, валенки, Не подшиты, стареньки. Анатолий Папанов вспоминал, как в 1942 году попросил использовать пластинку с песней "Валенки" в качестве ЭТОГО. Назовите ЭТО словом от А до Я.
Реймон Ассо, поэт, продюсер и наставник Эдит Пиаф, узнав, что у певицы было трудное детство, сочинил для нее несколько ИКСОВ, и Пиаф долго и старательно их отрабатывала. Назовите ИКС словом греческого происхождения.
Андрей Вознесенский был дружен с американским художником-концептуалистом Раушенбергом. В названии своего эссе о Раушенберге Вознесенский ОТРАЗИЛ их чрезвычайную творческую схожесть. Напишите название эссе, состоящее из трех символов.
Раздаточный материал:
Вопрос 9 Раздаточный материал
На фотографии — чье-то надгробье на генуэзском кладбище. Назовите произведение, которое мы закрыли в списке под фотографией.
ИДЫ, несомненно, относились к млекопитающим, но чем именно они выкармливали новорождённых, остается непонятным. В частности, Гомер о такой подробности умалчивает. Наиболее известную из них звали Гилонома. Какое семибуквенное слово мы пропустили в тексте предложения?
Герой одного мини-комикса, оглянувшись, видит своего противника в новом, только что связанном шарфе и понимает, что положение безвыходное. Назовите этого противника.
В 1970-х годах некоторые американцы, желая обмануть окружающих и показать, что могут позволить себе дорогую новинку, ДЕЛАЛИ ЭТО и потом мучились. Назовите сложным словом устройство, которое ДЕЛАЕТ ЭТО.
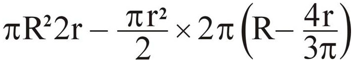
Раздаточный материал:
Вопрос 13 Раздаточный материал
Автор вопроса решил рассчитать ЕЕ объем и ПОЛУЧИЛ эту формулу. А вы ПОЛУЧИТЕ очко, если назовете ЕЕ тремя словами.
Привлекая самку, ОН издает неслышимый человеком инфразвук, хорошо проникающий через густые джунгли. А чтобы сфокусировать звук и направить его вперед, ОН использует своеобразное вогнутое зеркало, в которое сам же и превращается. Назовите ЕГО.
Век назад медики успешно применяли кинематограф для лечения ЕЕ. Страдальцев собирали в одном помещении и показывали им виды гор и другие красивые ландшафты. Назовите ЕЕ.
60