Чемпионат Харьковской области сезона 2013/14. Высшая лига. Третий этап

Вопросов
45
Начало
Окончание
Опубликован
Инстинкт, которому подчинены зомби в фильме "Война миров Z", требует не столько утолить голод, сколько устранить источник шума. По сюжету фильма диспетчер в ходе военной операции обращается к товарищам по команде с просьбой. С какой просьбой?
[Ведущему: читать медленно, под запись.] В романе Роберта Грейвса приводится походная песня "Три печали сиятельного Августа". Один из ее куплетов звучит так: "Где [пропуск] — никто не знает. И мечтаем мы о том, как к могиле госудАря птиц пропавших принесем". Заполните пропуск.
Согласно шутке команды "Сборная Камызякского края", в их городе всё время что-то валяется, всё время что-то сушится, что-то — течет. Кто, согласно этой шутке, некогда приезжал в Камызяк?
Описывая рабочую столовую, кухня которой была отделена от общего зала прозрачной перегородкой, Фазиль Искандер упоминает событие начала двадцатого века. Какое?
По сюжету одной книги студент-практикант НАСА похищает сейф с НИМИ. Как предполагается в другой книге, ОН похищен кем-то из гостей или прислуги. Назовите ЕГО двумя словами.
Буквальный перевод названия аниме, снятого по мотивам "ИХ", звучит как "лес живой". В японском языке один из НИХ именуется итигАцу, другой — нигАцу, еще один — дзю итигАцу и так далее. Назовите ИХ двумя словами.
Персонаж Алана Майера приходит в себя в госпитале. Медсестра отмечает везение, благодаря которому он выжил после событий двухдневной давности. А каким был ответ медсестры на вопрос этого персонажа "Где я?"?
Во время пребывания в США в годы Второй мировой войны ОН носил имя НИколас Бейкер. Назовите ЕГО.
[Ведущему: по оглашении ответа огласить комментарий.] На обложке журнала "Крокодил" изображен школьный двор, в углу которого сложены рогатки. Подпись на этой обложке совпадает с названием романа двадцатых годов. Назовите этот роман.
По сообщению "Ленты.ру", последний в мире ИКС скончался в 2011 году в возрасте 110 лет. ИКСАМИ были АнрИ Барбюс, Эрих Мария Ремарк и Эрнест Хемингуэй. Какие слова мы заменили на "ИКС"?
По словам этого человека, вид с балкона был достоин известного императора, однако сам он не походил на это чудовище, и при взгляде на столь ужасную картину его сердце обливалось кровью. Назовите этого человека.
Как отмечается на одном сайте, чтобы обмануть смерть, моряки Ост-Индской компании предпочитали тельняшки с полосами по числу ИХ. Назовите ИХ.
Согласно "The Guardian" [зе гАрдиан], у биографов есть две версии, почему ранняя рукопись известного произведения была уничтожена. По одной из них, причиной стало недостаточное внимание, которое автор уделил теме психического расстройства. Кто этот автор?
Как известно, ИКС — атрибут ИГРЕКОВ. Как отмечается в "Российской газете", ИКС имел сакральный смысл: в своих похождениях ИГРЕКИ грешили и лишь благодаря ИКСУ Бог мог вызволить их из ада. Назовите ИГРЕКОВ.
Раздаточный материал:
Вопрос 15 Раздаточный материал
Рассчитывая прочность балок, поддерживающих крышу спортивной арены в ХАртфорде, программист учел лишь вес самой конструкции. Согласно сайту Smartnews [смартньЮс], причиной обрушения этой крыши стал ОН. Назовите ЕГО двумя словами.
Редактор благодарит за помощь в подготовке тура команду "Лимпопо" (Санкт-Петербург) Александра Ведехина (Таллин), Алексея Полевого (Гомель), Кирилла Карташова (Санкт-Петербург), Наталью Горелову (Санкт-Петербург) и Александра Коробейникова (Саратов).
Персонаж одного романа считает этот фразеологизм странным: ведь ИХ несколько. На самом деле ничего странного тут нет: имеется в виду тот, который обособлен. Напишите эту поговорку.
В передней комнате квартиры Мандельштамов некоторое время жил поэт Владимир Пяст. А каким словом Осип Мандельштам в это время в шутку называл собственную комнату?
Раздаточный материал:
Вопрос 3 Раздаточный материал
Перед вами логотип компании "Айрон дак", на котором мы скрыли изображение АЛЬФЫ. "АЛЬФА" — название одного из вариантов известной игры. Назовите эту игру.
Прототипом героя литературного произведения, возможно, был великолепный педагог Александр Джон Эллис. При создании экранизации этого произведения консультантом был замечательный ученый, профессор Питер ЛЭдифОугид. Как называется эта экранизация?
Действие рассказа Уильяма СтАйрона происходит в 1930-е годы. В русском переводе рассказа консервативно настроенный персонаж расшифровывает ЭТО как "дубина". А как ЭТО расшифровывается в действительности?
Футболист Фернандо Морьентес сначала играл в клубе "АльбасЕте", а потом переехал в Арагон. Можно сказать, что руководство мадридского "Реала" СДЕЛАЛО ЭТО с Морьентесом. Согласно известному источнику, один французский офицер в начале XIX века СДЕЛАЛ ЭТО с НЕЙ. Назовите ЕЕ одним словом.
Найти подходящую работу — трудная проблема. После окончания карьеры баскетболиста Иван Дворный занимался пчеловодством, работал слесарем, потом пожарным, и даже уборщиком в супермаркете. Назовите имя его отца.
[Редактор просит прощения у ведущего за длинные ацтекские слова. :-)] Ацтекский бог войны УицИлопОчтли узнал, что его сестра КойОльшаУки подговорила родню убить свою мать КоатликУэ. Но УицИлопОчтли СДЕЛАЛ ЭТО в полном воинском облачении и тут же убил множество своих братьев и сестер. Какой глагол мы заменили словами "СДЕЛАЛ ЭТО"?
В какой столице, по словам экскурсовода, сохранилось около 40 домов "амбарного типа"?
[Ведущему: Фамилии "Поллака" и "Поллока" надо читать одинаково, с ударением на первый слог. Ну, это я на всякий случай. :-)] Вклад художника Джексона Поллока в историю мирового кинематографа не очень велик. В статье русской Википедии о Джексоне Поллоке приводится только один киноэпизод, связанный с этим художником: в фильме "Контрабанда" герои случайно крадут картину Поллока, принимая ее за тряпку. В другой статье Википедии можно прочитать, что, согласно одной версии, именно действия Поллака послужили толчком к созданию известного эпизода другого фильма. Назовите этот фильм.
Раздаточный материал:
Вопрос 11 Раздаточный материал
Герб какой провинции вам раздали?
В конце 1940-х годов на одном советском заводе было предложено оптимизировать раскрой стальных листов. После этого производство продукции увеличилось. Но этот метод вскоре перестали использовать. В частности, потому, что завод не смог выполнить другую норму. Какую норму?
В вопросе есть замена. В русском переводе романа Малькольма Брэдбери рыжеволосая героиня названа "мачтой поэта". Какие два слова мы заменили на "мачту поэта"?
Современный писатель Даниэль КлУгер предположил, что предки известного барона были родом из Португалии. Назовите прозвище этого барона.
Словом "АЛЬФА" в вопросе заменено одно слово, а словом "БЕТА" — три слова. Генетик из Якутии Семен Григорьев предполагает, что АЛЬФА может стать БЕТОЙ не только в мультфильме. Какие три слова мы заменили на БЕТУ?
Редактор благодарит команду "Лимпопо" (Санкт-Петербург) и лично Александра Колышкина, команду "Дежавю" (Таллин), Марину Межову (Москва), Андрея Одегова (Киров), Альберта Нургалеева и команду "Н.И.Ш.А." (Рига), Алексея Богословского (Санкт-Петербург).
В фильме "Привет от Катюши" герой протягивает героине кольцо, и та надевает его на палец. А что происходит сразу после этого?
Персонаж современного романа ошибочно называет собеседника Роттердамским. Назовите фамилию этого собеседника.
В заметке о финале Кубка Лиги, в котором "Суонси" разгромил "Брэдфорд" со счетом 5:0, журналист "Гардиан" пишет, что представитель Лиги 2 даже не успел достать ЕЕ. Назовите ЕЕ.
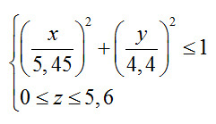
Раздаточный материал:
Вопрос 4 Раздаточный материал
Перед вами система неравенств, с некоторой точностью определяющая ЕГО форму. Рельеф местности в прилегающей к НЕМУ части парка изменен в целях безопасности. Назовите ЕГО двумя словами.
В статье на сайте газеты "Номер один" рассказывается, что у экспертов пожарной лаборатории есть прибор, измеряющий остаточную температуру, который в прямом смысле позволяет выяснить причину пожара... Ответьте тремя словами: как?
По легенде, история института папства началась с апостола Петра. Первым Папой после Петра был Линус, вторым — Клет, после него правил Климент I, потом Эварист, затем — Александр I. Назовите преемника Александра.
В романе Дюма Людовик XIV приказывает придворному проводить себя в комнату мадемуазель де Лавальер. Тот говорит, что нужно найти подходящий предлог для посещения. Король отвечает, что не нуждается в предлоге, и цитирует другого монарха. Напишите хотя бы первых три слова этой цитаты.
Раздаточный материал:
"Мне, напротив, следовало бы сначала усыпить подозрения ваши, и виду не подать, что я об этом факте уже известен; отвлечь, этак, вас в противоположную сторону, да вдруг, [пропуск], и огорошить: "А что, дескать, сударь, изволили вы в квартире убитой делать в десять часов вечера..."
Заполните тремя словами пропуск в розданной вам цитате.
Возникший в конце XVI века метод неделимых позволил с легкостью вычислять площади и объемы тел, в отличие от гораздо более трудоемких классических методов. Торричелли, противореча высказыванию другого математика, сравнил метод неделимых с НЕЙ. Назовите ЕЕ двумя словами.
Герой детектива Грэма Грина приходит к знакомому и спрашивает его, который час. Отвечая, знакомый дает герою понять, что тому лучше поискать в другом месте. Ответьте одним словом, что именно.
Слова "ФОТОАППАРАТ" и "ФОТО" являются заменами. Согласно сайту kino.oper.ru [кино точка опер точка ру], оригинальная коробочка для видеокассеты с известным фильмом представляла собой ФОТОАППАРАТ, и кассету можно было вынимать как ФОТО. О каком фильме идет речь?
В статье о планах федерации легкой атлетики России натурализовать бегунов из Кении и Эфиопии Вячеслав Самбур пишет, что федерация хочет быть на коне без системной работы. Что мы заменили словами "на коне"?
Глеб Вышлинский считает, что ИКС — понятие во многом мифическое и идет, скорее, из американских фильмов, чем из реальной жизни. К ИКСАМ относятся, например, пятый и шестой. Какие два слова мы заменили на ИКС?
С помощью чего прикуривает от печки герой романа Ремарка, действие которого происходит в первой половине 20-х годов прошлого века?
По мнению персонажа Вашингтона Ирвинга, любовь — это "мучение для ПЕРВОГО, счастье для ВТОРЫХ и вражда для ТРЕТЬИХ". Что мы заменили на "ПЕРВЫЙ", "ВТОРОЙ" и "ТРЕТИЙ"?
60