Чемпионат Москвы. Первая лига

Тур 1

1.1. "Разведка боём"
Авторы благодарят за тестирование и ценные замечания Ирину Проскурину, Александру Семёнову, Милену Спасич, Андрея и Сергея Абрамовых, Виталия Егорова, Ивана Ермолаева, Ивана Ефремова, Алексея Сироткина, Севу Янова, а также команды из Ростова-на-Дону. Отдельная благодарность выражается Ивану Митрофанову. Особая благодарность за помощь с редактурой и отсечение всего лишнего выражается Максиму Мерзлякову (слова "отсечение всего лишнего" не являются подсказкой).
Согласно менее известной версии, ОН увидел толпу исступлённо пляшущих дикарей, из которой выделилась небольшая группа, нашедшая свой ритм. Назовите ЕГО.
Чехов пишет, что, когда хозяин Каштанки уходил после обеда, грусть овладевала собакой постепенно — так же, как ОНИ овладевали комнатой. Ответьте двумя словами, что, согласно устойчивому выражению, является ИМИ.
В КаппадОкии есть немало помещений, вырубленных в скалах и обставленных грубой мебелью. Путешествуя по КаппадОкии, автор вопроса заметил, что в названиях местных отелей и кафе нередко используется английская фамилия. Напишите эту фамилию.
В статье Википедии сообщается, что сифонофОра физАлия для удержания на поверхности воды использует АЛЬФЫ. Другие АЛЬФЫ могут быть использованы в соответствии с уголовным правом некоторых штатов США. Назовите АЛЬФУ двумя словами, начинающимися на парные согласные буквы.
Раздаточный материал:
Вопрос 5 Раздаточный материал
На розданном вам изображении — здание ЕГО, расположенное на Rue de la Régence [рю де ля режАнс]. Назовите ЕГО двумя словами, начинающимися на одну и ту же букву.
Патриотичный Ромен Роллан считал ЕГО олицетворением веры. Можно сказать, что названный в ЕГО честь объект послужил причиной внутреннего конфликта между верой и неверием. Назовите этот объект.
Внимание, в вопросе есть замена. Говоря о перспективах развития арктической торговли, Елена Тихомирова задается вопросом, станет ли глобальное потепление Юпитером для Мурманска. Какие два слова мы заменили в предыдущем предложении одним?
[Ведущему: перед чтением вопроса уточнить, хорошо ли его слышно.] По одной из версий, посещавший грамматическую школу Франц ФИкентшЕр как-то раз попросил отца внимательнее отнестись к мнению компаньонов. Назовите бренд, одним из создателей которого стал отец Франца ФИкентшЕра.
Средневековый обскурантист ПфЕфферкОрн выхлопотал указ, согласно которому у евреев надлежало ПРОПУСК, кроме библейских. Назовите персонажа произведения XIX века, который предложил ПРОПУСК.

Тур 2

1.2. "МГТУ"
Редактор · Дмитрий Смирнов
В одном из предисловий к известному роману Уильяма Теккерея ОН и ЕГО производные упоминаются двенадцать раз. В НЕМ устраиваются на лесную ночевку герои известного сказа Павла Бажова. Согласно Википедии, еще один "ОН" появился на свет в мае 1996 года в городе Рыбинске. Напишите точное название последнего.
Раньше ЕГО называли французским словом со значением "белый". Иногда для ЕГО обозначения мы употребляем слово, совпадающее с именем легендарного героя кельтских мифов, переводимым как "белый странник". Но есть и другой синоним для обозначения ЕГО в русском языке, связанный совсем с другим цветом. А с каким именно?
Раздаточный материал:
Вопрос 3 Раздаточный материал
Внимание, в вопросе есть замена. После создания в Италии уникальной машины "ESpresso" [эспрЕссо] группа ученых из Портлендского госуниверситета занялась разработкой специальных кофейных чашек. Перед вами их прототипы, напечатанные из пластика на 3D-принтере. При этом разработчики подчеркивают, что эти чашки предназначены только для кофе эспрессо и не подойдут ни для какого другого метода приготовления этого напитка. Напишите две буквы, которые мы заменили в этом вопросе на одну букву.
Можно сказать, что АлИ родился в Азии, хотя его имя впоследствии получил европейский объект, расположенный всего в нескольких километрах от места его рождения. Назовите "дворец", который появился более века назад благодаря АлИ.
Внимание, в вопросе есть замена. Как ни странно, поселок Любытино на северо-востоке Новгородской области, который ранее назывался село Белое, а еще ранее — погост Прокопьевский, входит в список ТАКИХ ИХ России. В Таиланде ТАКИМИ ИМИ являются, например, СукотАи и АютайЯ. Ответьте абсолютно точно, какие два слова в вопросе заменены на слова "ТАКИЕ ОНИ".
Раздаточный материал:
Вопрос 6 Раздаточный материал
Перед вами образец паттерна, разработанного студией графического дизайна "Metric" [мЕтрик] в рамках прошлогоднего проекта территориального брендинга. Мы не спрашиваем, какие символы во второй строке мы от вас скрыли. Ответьте абсолютно точно, чей бренд разрабатывался в рамках этой кампании.
Желая найти подходящее имя для главного персонажа, сценарист Бэрри МОрроу отобрал четыре варианта, одним из которых было имя Норман. Правда окончательный выбор был сделан детьми сценариста в пользу другого варианта. Назовите фильм, над которым работал Бэрри МОрроу.
[Ведущему: четко выделить голосом цитату Маяковского.] Алексей Кручёных вспоминал, что Владимиру Маяковскому глагол с приставкой не понравился: "... это как будто они там были". Поэтому в итоговом варианте глагол употребили без приставки. Назовите любую фамилию, которая упоминалась сразу после этого глагола.
Раздаточный материал:
Вопрос 9 Раздаточный материал
Перед вами некоторые пиктограммы, которыми один популярный магазин снабдил сувенирный блокнот. Они обозначают известные произведения мировой литературы. Например, в левой пиктограмме зашифрован роман Харпер Ли "Убить пересмешника", а центральная обозначает книгу "Лев, Колдунья и Платяной шкаф" из серии "Хроники Нарнии" Клайва Льюиса. Назовите роман, зашифрованный в пиктограмме справа.

Тур 3

2 тур. "Сова при свете дня" и "Бестактный двигатель"
Редакторы благодарят свои команды, а также Серафима Шибанова и Галину Пактовскую (оба - Москва), Вадима Штанникова (Ивантеевка), Николая Коврижных (Киров - Санкт-Петербург), Садига Гамидова (Баку), Ирину Зубкову (Нижний Новгород), Илону Косенко (Одесса), Николая Касьяна (Ростов-на-Дону), Константина Науменко и Владимира Браймана (оба - Киев), Ульяну Фабричнину (Санкт-Петербург), Николая Константинова (Горки), Юлию Лободу (Томск), Анастасию Гончарову (Челябинск), Петра Буйного, Ивана Пахотина, Илью Тупоногова и Андрея Кокуленко (все - Омск).
Согласно теории разбитых окон, мелкий беспорядок провоцирует более серьезные нарушения. Поэтому в Нью-Йорке 90-х годов вместо тяжких преступлений в первую очередь занялись мелкими: например, отмывали граффити с вагонов метро. Следом взялись за тех, кого в городе ежедневно насчитывалось до 170 тысяч. У них обнаруживались ножи, пистолеты и судимости, а вот необходимых предметов — не было. Каким словом в обиходе называют этих людей?
Согласно шуточной математической задаче, на ВТОРОЙ ехать выгоднее, чем на ПЕРВОЙ. В частности, от Москвы до Омска за те же деньги проезжаешь на 40 сантиметров больше. Назовите ПЕРВУЮ и ВТОРУЮ в правильном порядке.
По мнению "Гринпис", планета нуждается в хорошей экологии, тогда как желания людей нездоровы. В ответ на них гринписовцы сняли ролик, в котором актеры буквально изображают ЕГО. В конце минуты мы рассчитываем увидеть ЕГО. Назовите ЕГО коротким словосочетанием.
Проверяя ЭТО, на парковке рядом с объявлением "Пожалуйста, возвращайте взятые из магазина тележки" разместили несколько тележек, ручки которых измазали мазутом, чтобы никто не пытался ими воспользоваться. Назовите ЭТО.
Раздаточный материал:
Вопрос 5 Раздаточный материал
В Новой Зеландии планируется референдум по замене флага с британской символикой на свой. На конкурс представлены разные варианты. Какими двумя словами называется этот?
Описывая взаимодействие микробов и организма, Говард Хаггард проводит понятные читателям во всём мире параллели. Если тяжелую острую инфекцию можно уподобить военному вторжению, то хроническая инфекция — это, скорее, ОНА. Австралия и Новая Зеландия входят в число лидеров по НЕЙ. Назовите ЕЕ словом с удвоенной согласной.
Раздаточный материал:
P ZQAE TQR
Кто, согласно источнику 2014 года, написал это однокласснику?
Отладчик — это программа для сбора симптомов произошедшей ошибки, фиксации всей хронологии событий и отправки отчета на сервер. По этой информации специалисты могут выявить общую проблему системы. Изначально известный отладчик мог получить имя ПЕРВОГО, но всё же был назван в честь ВТОРОГО. Назовите ПЕРВОГО.
Один рецепт коктейля включает в себя водку и кориандр. Для шуточной его версии предлагается смешать ПЕРВЫХ и ВТОРЫХ. Назовите ПЕРВЫХ и ВТОРЫХ.
Раздаточный материал:
"И рассеянных иудеев он созовет с четырех концов земли" "И после сего видел я четырех Ангелов, стоящих на четырех углах Земли"
Джон Грант пишет, что идея плоской Земли жива благодаря небольшому числу фундаменталистов, которые в доказательство приводят цитаты из пророчеств и откровений. Однако, указывает автор, этим цитатам соответствует и ОН. Назовите ЕГО греческим словом.
Согласно одной теории, каждый человек — копия целого мира. Ее приверженцы уподобляют глаза Солнцу и Луне, позвоночник — горному хребту, а АЛЬФЫ — БЕТАМ. На какой БЕТЕ находится АЛЬФА?
[Ведущему: читать медленно и под запись.] Во время Второй мировой войны организаторам эвакуационной операции "dertransport" [дэр трАнспорт] пришлось просить парламент о разрешении ввоза евреев с нарушением юридических норм. В предыдущем предложении мы пропустили три буквы. Напишите их.
Герой романа Томаса Манна называет безударные слоги текста ИКСАМИ. Назовите любого из ИКСОВ, фигурирующих в стихотворении XX века.
Широкую известность НИколас УИнтон приобрел после того, как его жена обнаружила записную книжку с адресами английских семей. Сам Николас получил в прессе прозвище "британский ОН". Назовите ЕГО фамилию.
Люди, занимавшиеся перевозкой рабов из Африки, с одной стороны, спасали их от дикости и варварства, с другой — делали их товаром. Пирс Брендон сравнивает моральные принципы и прибыль со слоном и зАмком. Какое слово, произошедшее от топонима, Брендон употребляет в этом же сравнении?
В Первую мировую войну турецкими войсками зачастую командовали советники из Пруссии. В связи с этим острословы немного изменили в известном выражении третье слово, превратив его в имя собственное. Напишите получившийся вариант.
Пирс Брендон пишет, что британские захватчики воспринимали известную метафору буквально и использовали паклю, чтобы законопатить раны, оставленные плохо подогнанными седлами. Напишите эту метафору.
Акцию российских либералов, не согласных с попыткой возрождения советской традиции, назвали ""ПЕРВОЕ" против "ВТОРОЙ"". В каком фильме ВТОРАЯ была против ПЕРВЫХ?

Тур 4

3.1. "Гравицапа"
Команда выражает персональную благодарность Виктору Бойкову ("Гидрою контры убит Чаушеску"), Антону Волосатову ("Сова при свете дня") и Екатерине Лобковой ("Механизм реакции") за помощь в работе над пакетом, а также благодарит еще около десятка знатоков, принявших участие в его тестировании.
ИКС, герой фильма Абеля ФеррАры, постоянно нетрезв, употребляет наркотики, играет на тотализаторе, промышляет вымогательством. Однажды в герое пробуждается совесть, и жизнь дает ему шанс сменить "амплуа". Какие два слова, начинающиеся на одну и ту же букву, мы заменили на ИКС?
Раздаточный материал:
Svarthöfði
Перед вами название, которое в результате голосования жителей получила одна из улиц Рейкьявика. При этом планируется, что после изменения нумерации зданий первый дом на этой улице будет носить номер 4. В честь кого она была названа?
Герой романа Стивена Чбоски называет хрустящую корочку ИКСОМ пиццы. ИКС упоминается в заголовке статьи о возможном сотрудничестве молодой Ангелы Меркель со Штази. Какое слово греческого происхождения мы заменили на ИКС?
Одна из книг "Веселой науки" Фридриха Ницше, датированная самым началом 1882 года, открывается поэмой, в двусмысленном заглавии которой можно усмотреть, например, символическую отсылку на возвращение к активной литературной деятельности после нескольких лет скитаний по Европе. Назовите фамилию самого популярного уроженца КалАбрии, носящего имя святого, упомянутого в этом заглавии.
[Ведущему: обязательно сделать паузу между словом "другой" и словом "ИКС" в третьем предложении.] Внимание, слово "ИКС" в вопросе — замена. Фильм 2007 года, завоевавший премию Японской киноакадемии в категории "Лучший иностранный фильм", содержит две сюжетные линии. В одной — показана агитационная поездка группы молодых людей, ставших, можно сказать, живым ИКСОМ. В другой — ИКС тоже присутствует. Ответьте точно, где разворачивается действие этой другой сюжетной линии.
Раздаточный материал:
Вопрос 6 Раздаточный материал
Перед вами выдержки из НЕЕ. ЕЕ подписание состоялось 2 марта в Вашингтоне. Назовите ЕЕ точно.
Статья, опубликованная на одном из русскоязычных сайтов, рассказывает о том, что, приобретя контрольный пакет акций футбольного клуба "Рома", его новые американские владельцы сразу же занялись превращением клуба в прибыльный бизнес. Название статьи лишь числом отличается от названия фильма 2013 года. Напишите название этой статьи.
В одной из своих книг супруги Уильям и Марта Сирс советуют ИМ провести эксперимент: поместить в банку с водой яйцо и сильно встряхнуть. Назовите ИХ одним словом.
С 1998 по 2002 год Пий Сегмюллер являлся обладателем двойного гражданства. Какую должность Сегмюллер занимал на протяжении этих лет?

Тур 5

3.2. "MUSA"
Редактор · Серафим Шибанов
Раздаточный материал:
Вопрос 1 Раздаточный материал
Скорее всего, вы никогда не видели настоящего лица человека, изображенного на этой фотографии. Однако мы считаем, что авансом дали вам ключ к разгадке. Назовите имя самого известного сыгранного этим актером персонажа.
Особенно большое количество историй об оборотнях Тануки идет с острова Сикоку, что связано с отсутствием на этом острове... Кого?
По распространенной версии, ОН отказался от поездки в мятежную Польшу, узнав, что фамилия одного из предводителей мятежников — Вайскопф. Напишите ЕГО фамилию.
Согласно малоправдоподобной легенде, князь Вяземский не спешил давать имя своему поместью и решил назвать его первыми словами, которые произнесет приехавший в гости Пушкин. Лакей встретил гостя вопросом, что делать с его саквояжем. Напишите два слова, фигурировавшие в ответе Пушкина.
Раздаточный материал:
давно известна рыба фугу на весь японский общепит большим количеством отбросов ПРОПУСК
Пропущенное слово в другом падеже входит в название фирмы, действовавшей в произведении первой половины XX века. Напишите это название.
Британский разведчик Родерик Чисхольм, работавший в Москве, и его коллеги называли дом, где они жили, "Грустный Сэм". На какой улице находился этот дом?
Аббревиатура ЖАКТ расшифровывается как "жилищно-арендное кооперативное товарищество". Евгений Шварц как-то пошутил, что ЖАКТ — это ОНА домоуправления. Какая ОНА была у Жаклин Кеннеди?
В предисловии к своему роману Курт Воннегут делает вывод, что оглядываться назад бессмысленно, а зачастую и опасно, и резюмирует: "... эта книга не удалась, потому что ее написал ИКС". Назовите ИКС двумя словами, начинающимися на одну букву.
В современной книге герой считает, что родившийся ребенок может существенно повредить карьере, и сравнивает детскую ванночку с НИМ. В более известной книге герой, использовавший ЕГО, словно выпадает из реального мира. Назовите ЕГО двумя словами.

Тур 6

4.1. "Неопровержимые улитки"
Команда благодарит за большую помощь в составлении пакета Александра Коробейникова, а за тестирование вопросов - Марину Козачок, Павла Анохина и Кирилла Борусяка.
На карикатуре под НЕЙ написано "вай-фай", а еще чуть ниже — "аккумулятор". Назовите ЕЕ.
Рассказывают, что однажды в советские времена на вступительном экзамене абитуриент сослался на древнегреческие вычислительные данные. Приемная комиссия с удивлением поинтересовалась, какие-такие древнегреческие... Абитуриент уверенно ответил: "Ну, как же! Их же составил древний грек". Однако этот "древний грек" оказался членом этой комиссии. Назовите его фамилию.
Среди названий ТАКИХ оттенков есть миндальное пралине, кленовый сироп, шоколадный фондан, морозное капучино, шоколадный трюфель, какао со льдом, сладкий горячий шоколад, а также растение — символ европейского города. Какого?
Раздаточный материал:
Вопрос 4 Раздаточный материал
Перед вами фрагмент из предисловия вышедшей в 1975 году книги "Гомоморфизмы и модели" малоизвестного советского математика, четыре года проведшего в лагерях. После этой книги его работы в СССР больше никогда не публиковали. Мы вырезали имена двух врачей, которые трудились в XIX веке в Великобритании, никогда не занимались математикой и никогда не были в России. Напишите их фамилии.
Рассказывая о взаимодействии Плутона и его спутника Харона — масса последнего составляет примерно одну восьмую от массы Плутона, — блогер Виталий Егоров приводит видео, на котором можно увидеть тренирующихся ИХ. Назовите ИХ двумя словами, начинающимися на одну и ту же букву.
В английском языке прилагательные обычно идут перед существительными, поэтому в названии более раннего стандарта буква T была последней. Название нового стандарта стало компромиссом между английской и французской версией, так что итоговая аббревиатура вообще не имеет официальной расшифровки. Напишите ее.
Раздаточный материал:
Исполнительный Комитет считает долгом заявить свой протест против насильственных действий, подобных покушению Гито. В стране, где свобода личности дает возможность честной идейной борьбы, где свободная [ДВА СЛОВА ПРОПУЩЕНО] определяет не только закон, но и личность правителей — в такой стране политическое убийство, как средство борьбы, — есть проявление того же духа деспотизма, уничтожение которого в России мы ставим своею задачею.
[Ведущему: дать командам время прочитать текст на раздатке.] В немного сокращенном тексте заявления конца XIX века, посвященного убийству президента США Джеймса Гарфилда, мы пропустили два слова. Восстановите их.
Цитата из онлайн-трансляции футбольного матча Россия — Португалия, закончившегося победой России: "Идет 91-я минута. 120 секунд. 119, 118... Чертова ТАКАЯ ОНА!". Конец цитаты. Заметим, что если бы на экране вместо ТАКОЙ НЕЕ мы с той же частотой наблюдали СЯКУЮ ЕЕ, то добавленное время вообще бы не закончилось. Какие два слова мы заменили на "СЯКАЯ ОНА"?
Раздаточный материал:
Вопрос 9 Раздаточный материал
В черногорском городе Будва хризму — монограмму Христа — можно увидеть не только на дверях храма, но и нарисованную краской на асфальте в местах, где... Закончите двумя словами.

Тур 7

4.2. "Venceremos"
Команда благодарит за неоценимую помощь в подготовке и редактуре вопросов Григория Смыслова (Зеленоград), а за тестирование и ценные замечания - Вадима Яковлева, Ивана Митрофанова, Ивана Ефремова, Ирину Проскурину, Константина Хмелинина, Кирилла Фролова (все - Москва), Екатерину и Максима Кузнецовых, а также Артема Чернея (все - Владимир).
Персонаж сериала "Сверхъестественное" рассказывает, что был на Среднем Востоке и пару раз в Германии, а на встречу с родственниками отправился из Дарфура. Назовите этого персонажа.
Раздаточный материал:
Вопрос 2 Раздаточный материал
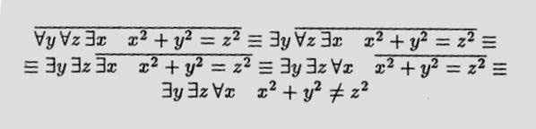
Перед вами формула из учебника дискретной математики. Говоря о черте отрицания, автор учебника в комментарии к этой формуле упоминает название романа первой половины XIX века. Назовите этот роман.
[Ведущему: сделать логическую паузу после названия группы.] В песнях группы "Кобыла и трупоглазые жабы искали цезию, нашли поздно утром свистящего хна" носорог вместо шерсти покрывается селедкой, крокодиловый робот утопает в сгущенке, а ракообразные князья идут на бой. Используя две буквы, назовите клуб, в котором в 2014 году группа дала один из своих концертов.
Прозвище футбольного клуба "Санкт-Паули" из Гамбурга — "пираты". Напишите пятибуквенное название клуба из другого немецкого портового города, с фанатами которого особенно сильно враждуют фанаты "Санкт-Паули".
В биографии этого человека, впервые вышедшей в 1955 году, говорится, что он, оставаясь неграмотным, прекрасно разговаривал по-английски, а также немного знал французский, немецкий и итальянский. На обложке одного из изданий этой биографии он изображен в солнцезащитных очках. Назовите этого человека.
Режиссер Анджей Вайда снял фильм "Дантон" в 1982 году. В фильме показано противостояние Робеспьера, придерживающегося радикальных взглядов, и более либерального Дантона. Примечательно, что сторонников Дантона сыграли ИКСЫ, а сторонников Робеспьера — ИГРЕКИ. Ответьте в правильном порядке, кого мы заменили на ИКСОВ и ИГРЕКОВ.
[Ведущему: сделать логическую паузу после слов "Конец детства".] На сцену контакта пришельцев с жителями Земли из романа "Конец детства" Артура Кларка вдохновили ОНИ, увиденные писателем в Лондоне в 1941 году. Для борьбы с НИМИ на ведущую кромку иногда крепились С-образные приспособления с лезвиями. Назовите ИХ двумя словами.
[Ведущему: слегка выделить голосом слово "строительству".] Напишите аббревиатуру, впервые использованную Джимом О'Нилом в аналитической записке, посвященной строительству мировой экономики.
[Ведущему: сделать логические паузы до и после оборота "чем закончится "АЛЬФА".] Герой фильма "Хороший год" говорит, что, чем закончится "АЛЬФА", можно догадаться по ее названию. Об АЛЬФЕ можно говорить, например, в отношении Пьетро Аретино и Джованни Беллини, а в отношении Дездемоны — нет. Назовите АЛЬФУ тремя словами.

Тур 8

5.1. "Синий лев"
Чуть больше трех лет назад произошло событие, в результате которого масса цинка на Земле увеличилась примерно на 400 граммов. Комментируя это событие, представитель расположенного на Урале цинкового завода утверждал, в частности, что экологической опасности не возникло. В финансовом отчете самого завода сообщается, что расходы, связанные с ликвидацией последствий этого события, составили в 2013 году 51 миллион рублей, а в 2012 году на такую статью расходов не было потрачено ни рубля. Назовите это событие максимально точно.
Как известно, словом "камео" обозначают появление известных людей в кадре, причем особой его разновидностью является случай, когда человек исполняет роль самого себя. Одно из первых мест, по крайней мере в отечественном кинематографе, очевидно занимает Николай, снявшийся в девяти художественных фильмах, причем в двух случаях он играет самого себя, в одном — другого человека той же профессии, а в шести случаях нельзя однозначно сказать, играет ли он самого себя или просто человека той же профессии. Кроме того, в четырех художественных фильмах он исполняет эту роль, не появляясь в кадре. Назовите фамилию Николая.
Внимание, в вопросе есть замены. В Москве есть ТАКОЙ и ОТАКОЙ переулки. Оба они односторонние, и оба отходят от Садового кольца, а слова, от которых происходят их названия, соотносятся между собой как частное и общее. Расстояние между серединами переулков составляет примерно три с половиной километра, но, что интересно, если вы захотите доехать на машине от середины ТАКОГО до середины ОТАКОГО (или наоборот), то придется проехать путь почти вдвое больший. А при поездке туда и обратно вы, скорее всего, будете разворачиваться в одном и том же месте, под эстакадой. Назовите переулки в правильном порядке.
Об этой погоне все мы знаем с детства, но сведения о маршруте крайне скудны. Мы можем предполагать, что его началом был Манежный переулок, знаем, что он включал в себя Сенную площадь и Садовую улицу, а кончился он в пространстве между Кирочной, Шпалерной, Потёмкинской и Таврической улицами встречей с тремя персонажами. Назовите отчества этих персонажей.
Внимание, в вопросе есть замены. В детстве ИХ создатель Сатоси Тадзири увлекался популярным в Японии того времени развлечением — коллекционированием насекомых. Это увлечение отразилось позднее при разработке Тадзири проекта, названного "Капсульными ИМИ". Позднее, из-за проблем с регистрацией торговой марки, ОНИ из капсульных превратились в ТАКИХ. Догадавшись, в каких — ТАКИХ, назовите самого известного из НИХ.
В России XVI-XVII веков большинство западноевропейских серебряных монет, как известно, называли "ефимками". Однако для отдельных их типов бытовали специальные названия. Например, талеры города Любека и сходные с ними назывались "любскими ефимками"; шведские далеры, на некоторых из которых изображался король с непокрытой головой, назывались "плешивцами"; датские далеры с изображением короля во весь рост назывались "единорогами" из-за гербового щита, на который опиралась фигура короля. В одном из слов предыдущего предложения мы заменили одну букву. Какую?
[Ведущему: озвучить кавычки!] Внимание, в вопросе есть замены. Большинство содержащихся в неволе шимпанзе — БЕЛЫЕ, хотя две трети диких шимпанзе — ЧЕРНЫЕ. А вот белые медведи все ЧЕРНЫЕ. С точки зрения английского языка, ЧЕРНЫЕ люди — зловещие и мрачные. А вот африканский народ Хохо считает ЧЕРНЫХ людей "нечистыми" и нечестными, поэтому нынешний король Хохо Тогбе Нгорифия Кифа Коси Банса унаследовал трон в обход своего отца и старшего брата. А чем "провинились" старшие родственники нынешнего короля Хохо?
Раздаточный материал:
"Что тебе за удовольствие смешивать старое фалернское с ватиканскими выжимками? Чем угодили тебе самые скверные вина, чем прогневали самые лучшие? Положим, отравить нас еще ничего; но отравить фалернское и влить в вино кампании адский яд — это самое гнусное преступление. Может быть, твои гости заслуживают этого, но эта драгоценная амфора — никогда!"
Дуплет. 1. Мы раздали вам отрывок из письма Юлия Марциана, римского юриста первой половины третьего века нашей эры. В этом отрывке мы изменили одну букву. Какую? 2. Фалернское стало наиболее известным вином Древнего Рима, а лучший его винтаж называли опимианским, увековечив таким образом успех Луция Опимия. Какое его достижение увековечено таким образом?
Раздаточный материал:
Вопрос 9 Раздаточный материал
Друг автора вопроса написал у себя в фейсбуке: "Когда я натыкаюсь на это обозначение, но еще не успеваю вникнуть в контекст, у меня ассоциации срабатывают вот в такой последовательности". Напишите это обозначение.

Тур 9

5.2. "Jus Naturale"
Редактор · Павел Ершов
Редактор пакета благодарит за помощь в тестировании команду Павла Ершова, команды "Азбука вкуса", "Опережая мысли", "Разведка боём" (все - Москва).
[Нулевой вопрос] Автору вопроса приснилось, что он играет суперблиц про Чжуан Цзы. Проснувшись во сне, автор первым делом СДЕЛАЛ ЭТО. Какие два слова мы заменили на "СДЕЛАТЬ ЭТО"?
Раздаточный материал:
*****.com
Вставьте пропущенные символы в название сайта самых престижных соревнований в одном из видов моторного спорта, использовав три буквы и две цифры.
Музыкальный критик Артем Рондарев утверждает, что ЕГО название пришло из морского жаргона — так моряки называли одновременную продольную и поперечную качку. Напишите ЕГО название словом, в котором обе гласные могут быть ударными.
"Это такой удар, в котором для полной мощи не хватает буквы". От себя добавим, что буква эта — последняя. Определение какого слова, приписываемое Виталию, мы процитировали?
Уже в XVI веке облегчающая маневрирование подвижная колесная пара использовалась в артиллерии, однако она долго не имела применения в гражданской сфере. Этим фактом историк Жан Делюмо объясняет успешную попытку некоего Франсуа. Назовите фамилию этого Франсуа.
В 1944 году стрелок бомбардировщика был сбит над Крымом. Он вспоминал: "Татары нашли меня день спустя. Они покрыли мое тело жиром... и обернули меня в войлок, чтобы сохранить тепло". Назовите этого человека.
Раздаточный материал:
Вопрос 7 Раздаточный материал
[Ведущему: капитализацию и кавычки вокруг слова "Портрет" игнорировать.] Перед вами ЕГО портрет 1834 года, созданный примерно в один год вместе с ЕГО другим известным "Портретом". Напишите фамилию человека, изображенного на розданном вам портрете.
В экранизации 1946 года ДВАДЦАТЬ ДЕВЯТАЯ носит костюм замужней женщины, что, по мнению Марка Липовецкого, не вызывает ассоциаций с опасной соблазнительницей. Актриса, сыгравшая роль ДВАДЦАТЬ ДЕВЯТОЙ, ранее исполнила роль девушки с Клондайка. Назовите тремя словами ту, которую мы заменили на ДВАДЦАТЬ ДЕВЯТУЮ.
Ежегодно ИХ со всего мира привозят на Манхэттен. Основное требование к НИМ: от 10 до 50. Назовите двумя словами отраженную в ИХ названии "единицу измерения", которая на самом деле единицей измерения не является.
Раздаточный материал:
Вопрос 10 Раздаточный материал
Напоминаем, что завтра, двадцать восьмого февраля, состоится вручение кинопремии "Оскар". Перед вами один из финальных кадров фильма 1970 года. Он тоже выигрывал премию "Оскар" в одной из основных номинаций. Назовите этот фильм.

Тур 10

6.1. Команда Евгения Волконского
Команда благодарит Николая Лёгенького и Александра Коробейникова за тестирование пакета и ряд ценных замечаний и предложений.
Парогазовые турбины на электростанциях США крутятся с частотой 3600 оборотов в минуту. А с какой частотой турбины крутятся на российских электростанциях?
Раздаточный материал:
Ghost in nerd war Polish eye of sky are Most cove ski year war rotor Kid eye go red
Валерий Ковалёв предложил в помощь англоговорящим иностранцам, например, словосочетания, которые указаны в раздаточном материале. Назовите по-русски ближайшее к нам место, где этот список будет полезен.
В вопросе есть замена. В XVIII веке в английских трактирах АРАМИСЫ обыкновенно заказывали комплект из пары одинаковых предметов и бутылки шампанского. Какое слово французского происхождения мы заменили на "АРАМИС"?
Раздаточный материал:
Вопрос 4 Раздаточный материал
В вопросе есть замена. Картина Питера Мондриана называется "Одинокое дерево на ГЕНРИХЕ". Авторы вопроса полагают, что это дерево — не хвойное. Какое слово мы заменили на "ГЕНРИХ"?
В вопросе есть замена. Исследователь Дэниел Эверетт много месяцев пытался научить индейцев Амазонки ДЕЛАТЬ ЭТО. Автор вопроса, напротив, научился ДЕЛАТЬ ЭТО за несколько дней благодаря тренировкам по капоэйре. Ответьте, чего нет в языке этих индейцев, раз ДЕЛАТЬ ЭТО они так и не научились.
Раздаточный материал:
Wīmī
В слове из языка мАори, которое вы видите перед собой, заменена одна буква. В исходном виде это название страны. Какой?
Раздаточный материал:
This is the shell and this is the core That possesses the compound levels galore That make up the spectrum That's due to the modes That belong to the drop That looks like the nucleus That sits in _ _ That _ _.
К 70-летию известного человека Рудольф Пайерлс написал шуточное пародирующее стихотворение, часть строфы которого мы вам раздали. Напишите по-русски или по-английски название этого стихотворения.
Как пишет Ариадна Эфрон, в 1930-х в глухом таежном селе Мироедиха разрушение церкви начали со сбрасывания колоколов. Несколько самых маленьких в два счета разобрали бабы как вещи, необходимые в хозяйстве. Как были использованы эти колокола?
Перечисляя все неурядицы, которые пришлось преодолеть Лейбницу, Хал Хеллман предлагает назвать в честь ученого единицу ЭТОГО. Ответьте тремя словами, какая емкость изображена в статье Википедии об ЭТОМ.

Тур 11

6.2. "Вкусно и хорошо"
После обнаружения ученым Карлом Андерсоном антиэлектрона Поль Дирак получил Нобелевскую премию. А началось всё с того, что Дирак обнаружил элементарную математическую ошибку и добавил один символ. Запишите то, что у него получилось в итоге.
Блиц. 1. Согласно байке, однажды подчиненный предложил ЕМУ помощь, указав при этом на собственное преимущество по сравнению с НИМ. ОН же в ответ мрачно ответил, что преимущество это легко исправимо, чем привел подчиненного в ужас. Назовите ЕГО. 2. Говорили, что одно только ЕГО имя может быть опасно в случае волнений. Поэтому, когда ОН умер в раннем возрасте, практически никогда не выезжая из страны, ходили слухи, что ЕГО отравили. Назовите ЕГО. 3. Википедия пишет, что ЕГО Египтом должна была стать Мексика. Назовите ЕГО.
АЛЬФА — это замена. В психологии эффект, когда слабый контраргумент к какой-либо позиции лишь укрепляет в ней человека, называется "Социальная АЛЬФА". Назовите фамилию человека, первым применившего АЛЬФУ.
Недавно разработчики признались, что причиной знаменитого события стал простой компьютерный глюк, из-за которого стратегия перестала быть понятной. Для кого?
Сергей Лукьяненко пишет, что строчки из старой советской песни, где упоминаются ОНИ, современные дети способны понять по-новому. Единственное, некоторые уточнят: "Что-что? Заправлены? Наверное, закачаны?". Один сайт пишет, что к 2018 году ОНИ снова станут бумажными. Назовите ИХ.
По словам Михаила Зыгаря, западные политики часто сравнивали ИКС и ИГРЕК с клещами, в которые Россия зажимает Европу. ИКС и ИГРЕК состоят из двух слов, одно из которых совпадает. Назовите ИКС или ИГРЕК.
Согласно недавно проведенному в Новой Зеландии голосованию, 60% предпочли "покеру" другой вариант. Иная точка зрения главенствует в Канаде, Южной Африке, Австралии и еще одной стране. Догадавшись, что мы изменили в тексте вопроса, назовите эту страну.
В католичестве ОН ассоциируется со Святым Петром. Фотография Римского Папы, сидящего на троне с НИМ, вызвала в Интернете скандал среди противников католической церкви, увидевших в этом доказательство ее падения. Назовите ЕГО двумя словами абсолютно точно.
Внимание, в вопросе есть замены. Шутят, что не стоит удивляться, когда ЗЕТ пришел, чтобы убить тебя, если ты обзывал ИКС тупым. ИГРЕК же, согласно другой шутке, "исправит твою никчемную жизнь". Назовите ИКС.

Тур 12

7.1. "Снарк"
Редактор благодарит за тестирование тура: Ирину Зубкову (Нижний Новгород), Константина Науменко (Киев), Александра Нечаева (Воронеж), Андрея Кравченко (Москва), Андрея Кокуленко (Омск), Садига Гамидова (Баку)
Раздаточный материал:
Вопрос 1 Раздаточный материал
[Нулевой вопрос] Известно, что дальтоники испытывают проблемы со сбором клубники, потому что не видят ее среди зеленых листиков. А по сравнению с этим животным любой человек — дальтоник: если человек может различать три основных цвета, то это животное — двенадцать. Мы не просим вас назвать это животное. Назовите подтип, к которому оно относится. В этом вам должна помочь вся информация, которая есть в вопросе.
Раздаточный материал:
Wendelse Wentilseo Wendelsæ
Так называли этот географический объект, начиная с пятого века нашей эры. А как мы называем его сейчас?
Раздаточный материал:
Вопрос 3 Раздаточный материал
На раздатке кадр из фильма "Агенты А.Н.К.Л.", действие которого происходит во времена Холодной войны. Один из героев фильма — советский шпион Илья Курякин. Спутники героя ждут, когда он выйдет из одного из помещений в гостинице. В конце концов двери распахиваются, и Илья появляется на пороге. Что он при этом держит в руках?
Раздаточный материал:
Вопрос 4 Раздаточный материал
Согласно версии одного интернет-пользователя, в описывающем ЕГО окказиональном прилагательном не хватает дефиса, а одна из букв заменяет три. Назовите ЕГО.
Внимание, в вопросе есть замены. Историк предполагает, что своими душевными качествами ОНИ обязаны иезуитам и прочим учителям-католикам. Тот же историк пишет, что ИХ отцы были американцами, которым страстно хотелось стать англичанами, а сами ОНИ были по воспитанию англичане, которым страстно хотелось стать американцами. Откуда некоторые из НИХ вернулись в конце 50-х?
Раздаточный материал:
Вопрос 6 Раздаточный материал
Шуточная подпись под этой фотографией гласит: "Они наконец-то помирились!". Около 25 лет назад люди по всему миру наблюдали за их противостоянием. Мы не просим вас назвать того, чье лицо мы отрезали. Назовите фамилиЮ двух людей, которые также активно участвовали в тех судьбоносных событиях.
Подруга автора вопроса решила познакомиться с симпатичным тренером по хоккею, придя на дополнительное занятие в хоккейной школе. Это придало новый смысл названию тренировки. Как называется такая тренировка?
Раздаточный материал:
B. BADENOV
Перед вами фамилия одного из героев мультсериала "Шоу Рокки и Бульвинкля" — русского шпиона. Мы надеемся, что вы достаточно хорошо знаете российскую историю и сможете назвать его "антипода", которым вдохновлялись создатели сериала.
В математике меру расстояния, определяемую как сумму расстояний по вертикали и горизонтали между двумя точками, называют по имени объекта, находящегося примерно на сороковой широте. Назовите этот объект.
В блоге "Лаборатории Касперского" недавно вышла статья с заголовком "ПРОПУСК: как мошенники зарабатывают на геймерах". Заполните пропуск частью названия фильма 1975 года.

Тур 13

7.2. "Лимонад"
Редактор благодарит за тестирование Владимира Городецкого, Екатерину Дубровскую, Артема Корсуна, Даниила Маргулиса, Павла Солахяна и Екатерину Сосенко.
Однажды группа журналистов путешествовала по советской автономии. В одном колхозе для них устроили богатый банкет, извинившись, однако, что не могут угостить ИМ. Чтобы гости из-за этого не расстраивались, хозяин сказал, что ОНО жесткое и отдает вечностью. Назовите ЕГО двумя словами, начинающимися на одну и ту же букву.
Актриса Татьяна Булах-Гардина как-то пошла в театр с юным приятелем. Постановка ей не понравилась, поскольку музыка была (цитата) "то скрипучая, то гремучая, то визгливая и всегда злая". Приятель актрисы был иного мнения. Назовите этого приятеля.
[Ведущему: кавычки не озвучивать.] Качество ухудшалось от "корпуса" к "крыльям", поэтому в какой-то момент на "крыльях" появились ОНИ. Назовите ИХ словом португальского происхождения.
Раздаточный материал:
На одной карикатуре за известным человеком бежит ПЕРВАЯ и кричит, что хочет от него ВТОРОЕ. "Я хочу ПЕРВОЕ от него", — кричит ВТОРАЯ, бегущая на одной карикатуре за известным человеком.
Сначала автор вопроса хотел использовать первую формулировку, потом появилась вторая. Выбрать, что лучше — первая или вторая, — автору не удалось. Назовите человека, изображенного на этой карикатуре.
Статья в "Московском комсомольце", посвященная очередному пересмотру школьных учебников, называется "ЭЛЬФЫ — в АЛЬФЕ". Какое слово мы заменили ЭЛЬФОМ, а какое — АЛЬФОЙ?
Виктор Коршиков, говоря о популяризации классического искусства, утверждает, что три ИКСА погубили АЛЬФУ. Какое слово мы заменили ИКСОМ, а какое — АЛЬФОЙ?
Хотя медведь-барибал обитает лишь в Канаде, США и Мексике, в 1992 году он благодаря Константину Хотяновскому попал... Ответьте точно, куда именно.
В городе Мюльхайм-на-Руре для привлечения туристов в старинной башне оборудовали ЕЕ. Главный герой "ЕЕ" в результате аварии теряет зрение. Назовите ЕЕ.
В 1992 году во МХАТе был поставлен спектакль по мотивам гоголевских "Игроков". В одной из сцен персонаж Леонида Филатова предлагает приятелям сыграть в карты. Один из них отвечает репликой "От скромных удовольствий я никогда не прочь", на которую зрительский зал реагирует смехом и аплодисментами. Какое слово мы заменили в этой реплике?

Тур 14

8.1. "Всадники Тамблвида"
[Ведущему: читать медленно, как под запись.] Дуплет. 1. Прослушайте цитату из произведения про преступника: "В самой же комнате было всего только ПРОПУСК и клеенчатый очень ободранный диван, перед которым стоял старый кухонный сосновый стол, некрашеный и ничем не покрытый". Заполните пропуск. 2. Прослушайте цитату из статьи про преступницу: "Когда оставалось последнее свиное ребрышко, между девушками завязалась потасовка, и одна из них попала ПРОПУСК другой". Заполните пропуск.
В русском переводе сериала "Клан Сопрано" один из персонажей на вопрос, какие индустрии традиционно устойчивы к рецессии, отвечает: "Некоторые аспекты шоу-бизнеса и ЭТО". Назовите ЭТО словами одинаковой длины.
Ричард Тейлор пишет, что в качестве приглашения на войну против враждебного племени вожди мАори иногда посылали друг другу картофелины с НЕЙ. Назовите ЕЕ.
Внимание, в вопросе есть замены. Персонаж Бориса Акунина, рассуждая о двух силах, издавна ведущих борьбу в России, говорит, что ПЕРВАЯ стремится к улучшению человеческой породы, а ВТОРАЯ держится на тюрьме и запугивании. ВТОРАЯ — неологизм, отличающийся от ПЕРВОЙ всего одной буквой. Что мы заменили словом "ВТОРАЯ"?
Героиня песни под названием "37-й" говорит, что никогда не сможет СДЕЛАТЬ ЭТО. Количество запросов в поисковике Google [гугл] со словами "СДЕЛАТЬ ЭТО" в начале 2016 года выросло примерно в двадцать раз. Ответьте двумя словами, что такое "СДЕЛАТЬ ЭТО".
"МашаллА" — арабское междометие, используемое как знак изумления, радости и благодарности Богу. В Азербайджане МашаллА используется в качестве ЭТОГО. Храбр — тоже ЭТО. Назовите ЭТО двумя словами.
Цикл полиритмических этюдов, созданный на основе колокольного звона, носит название "Музыка ИКСА". ИКС — это тоже музыка. Назовите ИКС двумя словами.
Название зарубежной песни, написанной от лица солдата, можно перевести как "Папа меня убьет". Назовите страну, в которой находится этот солдат.
Статья о стратегически важном для России экспортном продукте, недоступном представителям широких масс населения, называется "БОТВА КОРОЛЕЙ". Что мы заменили словами "БОТВА КОРОЛЕЙ"?

Тур 15

8.2. "Флориана"
Редакторы благодарят за тестирование вопросов и ценные замечания Руслана Шуканова (Актау), Алексея Романова (Москва), команду "Резко континентальные" и лично Марата Калдыбаева (Астана), Наталью Кузьмину, Викторию Ильичёву (обе - Москва), а также команды "Проект Церебро" (Астрахань) и "Brain Art" (Алматы).
Внимание, в вопросе ИКСОМ заменены другие два слова. Бегун ПАаво НУрми не жаловал СМИ. Рассказывают, что на интервью на свое 70-летие спортсмен согласился лишь потому, что брал интервью сам ИКС. Напишите фамилию любого из ИКСОВ.
Лирический герой одной русскоязычной песни заявляет, что он не землянин и не марсианин. Назовите автора этой песни.
Раздаточный материал:
Вопрос 3 Раздаточный материал
Мы раздали вам фотографии двух растений, названия которых неоднократно встречаются в произведениях... Чьих?
ДюбоннЕ — это аперитив на основе крепленого вина, ароматизированный корой хинного дерева и различными травами. Создатель дюбоннЕ был ИМ. Прозвище какого футбольного клуба — "ОНИ"?
В романе Маркуса Зузака описывается город, пострадавший от бомбардировки. При этом АЛЬФЫ сравниваются с разорванными БЕТАМИ. Среди АЛЬФ БЕТЫ есть, например, Мариахильфер, Брайтенфуртер и Альтмансдорфер. Какие слова мы заменили на АЛЬФУ и БЕТУ?
В своей версии известного выражения Козьма Прутков упоминает слОмицу и брус. А вместо каких двух других слов?
Из какого произведения 1949 года взята цитата: "Мне всё кажется, что ты уехал ненадолго и скоро вернешься"?
В словаре железнодорожного сленга АЛЬФОЙ определяют ремонтников путей, сметающих на своем пути все кабеля и муфты. Слово "АЛЬФА" происходит от тюркского слова, обозначающего цвет. Какое слово мы заменили АЛЬФОЙ?
В рассказе Стивена Кинга по непонятной причине в салоне самолета исчезли только некоторые пассажиры. Один из пассажиров вспоминает историю, которую узнал еще в детстве, и сравнивает произошедшее с НЕЙ. Назовите ЕЕ тремя словами.
60