В песне группы "Ундервуд" утверждается, что "уже давно уснули сержант из Коктебеля" и сержант из еще одного европейского города. Мы не спрашиваем вас, что это за город. Назовите фамилию, которую, по нашему мнению, носит этот сержант.
[Чтецу: не нужно выделять интонационно слово "ВАЗы" в третьем предложении.]
Рекламные плакаты транспортной компании DHL [Ди-Эйч-Эл] предлагают отправлять различные грузы в города России. Например, бюро — в Находку, удочки — в Рыбинск, а пылесосы — в Ковров. Назовите населенный пункт, в который компания предлагает доставить ВАЗы.
Внимание, в вопросе замены.
Рюноскэ Акутагава считал, что "животное, слишком животное, как правило, нечто человеческое". Назовите в правильном порядке слова, которые мы заменили словами "животное" и "человеческое".
В холодильнике героя одного современного романа лежала фляга с надписью "Молочный эксперимент". Впрочем, во фляге было всего-навсего обычное молоко. Необычную же надпись этот герой придумал, когда жил в студенческом общежитии. А зачем на фляге было написано слово "эксперимент"?
Цитата из романа Владимира Набокова "Дар". "БУДУЩНОСТЬ умывания и бритья казалась столь же близкой и невозможной, как ВИДИМОСТЬ у мастеров раннего средневековья". В этом вопросе мы дважды заменили одно и то же слово. Назовите это слово.
Внимание, вопрос номер два.
Однажды автор вопроса стоял на автобусной остановке и ждал маршрутное такси. Когда в очередной раз к остановке подъехал микроавтобус, маршрут которого не подходил автору, ему вспомнилось известное произведение, написанное в 1952 году. Воспроизведите название этого произведения.
Внимание, цитата с пропуском: "Пока народ безграмотен, [пропуск] и цирк". Мы не просим вас восстановить пропущенные слова. Назовите автора этой цитаты.
Внимание, в вопросе есть замены.
В рассказе Константина Арбенина на похоронах двух клоунов, умерших в один день, произносится следующая речь: "Образно говоря: их лица, еще при жизни ставшие масками, отчеканены на двух сторонах одного блестящего ИКСА, который мы сегодня торжественно ВОЗВОДИМ В КВАДРАТ". Догадавшись, какое слово греческого происхождения мы заменили словом "ИКС", назовите три слова, которые мы заменили словами "ВОЗВОДИМ В КВАДРАТ".
Статья в журнале "Компьютерра", критикующая один из существующих ныне интернет-браузеров, была названа так же, как пьеса немецкого писателя. Такое название статьи позволяет не только сразу понять, о какой программе пойдет речь, но и узнать, какую нелицеприятную характеристику дают ей журналисты. Воспроизведите это, состоящее из двух слов, название.
Кстати, о компьютерах.
Известно, что очень многие компьютерные термины в русском языке заимствованы из английского и являются неологизмами. Но есть среди них слово, давным-давно пришедшее к нам из тюркских языков. С начала прошлого века это слово входит в название двух знаменитых продуктов питания. Воспроизведите любое из этих названий.
Этими двумя словами журналисты "Московских новостей" назвали приложение к своей газете, посвященное проблемам детей. Для заголовка статьи об автогонках в классе "Формула-1" автор вопроса заменил первую букву в одном из этих слов. Воспроизведите получившееся у автора словосочетание.
Фаина Раневская так говорила о своей жизни: "Я родилась недовыявленной и ухожу из жизни недопоказанной. Я недо...". Воспроизведите конец ее высказывания.
Шарль де Голль полагал, что ОНИ потому так лаконичны, ясны и понятны, что были написаны без помощи советников и экспертов. Существует мнение, согласно которому адвокат способен найти в НИХ 13 лазеек. Назовите ИХ двумя словами.
В одном хокку ЕЕ ловит стрекоза над волной ручья. Во время работы над мультфильмом "Ежик в тумане" Юрий Норштейн создавал ЕЕ с помощью целлулоида, на который хаотично наносились черные пятна и которым нужно было подрагивать перед осветительным прибором. В 1940 году ОНА стала заглавием пьесы. Назовите ЕЕ.
Дуплет.
1. В книге "Черная риторика: власть и магия слов" приводятся варианты прощания участников конгресса врачей. Так, окулист говорит: "Увидимся". Назовите специальность врача, который прощается фразой "Возвращаемся к нашим баранам".
2. В книге "Черная риторика: власть и магия слов" приводятся варианты прощания участников конгресса врачей. Так, окулист говорит: "Увидимся". Назовите специальность врача, который прощается фразой "Будем лезть из кожи вон, чтобы встретиться снова".
Александр Башлачев. "Слет-симпозиум". Цитата с заменами:
И населенный пункт тридцать седьмого километра
Шептал соседу радостно: "К стене его! К стене!".
Он — опытный и искренний поклонник стиля "ретро",
Давно привыкший ПЕРВУЮ искать в чужой ВТОРОЙ.
А вот Моисей Маймонид полагал, что ПЕРВАЯ в середине, а вовсе не в ТРЕТЬЕМ, как многие полагают. Назовите ПЕРВУЮ, ВТОРУЮ и ТРЕТЬЕ в правильном порядке.
Рассказывают, что в 1920-х годах была совершена крайне неудачная попытка "советизации" Ирана. Само упоминание о провальном походе было вычищено из истории, что впоследствии доставило немало проблем советским литературоведам. Им пришлось сочинить легенду о том, что известный цикл стихов был создан не в результате "творческой командировки" одного из работников штаба, а по заочной любви к далекой и загадочной стране, где ОН, конечно же, никогда не бывал. Назовите ЕГО фамилию.
Внимание, в вопросе есть замена.
В 1920 году президент Франции Дешанель ушел в отставку, потому что стал МУДРЫМ. Впрочем, Франции к МУДРЫМ правителям не привыкать. Слово "МУДРЫЙ" четыре раза упоминается в названии картины, законченной в 1963 году. Назовите два других слова, входящих в это название.
Постарайтесь записать этот вопрос.
На одном из семинаров автору вопроса порекомендовали записать следующее утверждение: "Люди, которые ставят себе цели, достигают в 20 раз больше, чем люди, не ставящие себе цель". Внимание, вопрос. Как нужно поступить со своей целью, чтобы добиться в 20 раз больше, чем люди, которые ставят себе цели?
МАГами были Сирин и Дадон. В картах Таро МАГ может означать как одиночество, так и опыт. А у некоторых МАГов десять ног и нет позвоночника. Какое слово мы заменили словом "МАГ"?
Недавние события привели к такому анекдоту: в Эрмитаже появилась новая картина, на которой известный российский политик в окружении "вооруженной до зубов" армейской дивизии стоит возле государственной границы в ожидании некого сезонного явления. Шуточное название этой картины лишь частицей отличается от названия реальной картины, начатой в марте 1871 года. Воспроизведите это шуточное название.
Оригинально отметили в Пермской области 65-ую годовщину со дня рождения известного англичанина. На воду озера Утятск была спущена ОНА, собственноручно изготовленная несколькими десятками жителей окрестных деревень. Важный элемент ее дизайна создатели завершали прямо на берегу. Закончился праздник песнями под баян. Назовите ЕЕ тремя русскими или двумя английскими словами.
В студии группы "Куарримен" всегда стояло зеркало. Оно было необходимо из-за некой особенности одного из участников группы. Этой же особенностью обладал заглавный герой классического произведения Николая Семеновича. Назовите фамилию Николая Семеновича.
При первом взгляде на название одного из смоленских ресторанов можно предположить, что подразумевается очень большое пространство, ничем не ограниченное. При этом два слова, входящие в название, можно понять и как антонимы — вода и земля, а можно и как парадоксальный призыв к мелиоративной деятельности. Мы не спрашиваем вас, как называется это заведение. Назовите главное блюдо в его меню.
Один из коллажей на сайте www.dirty.ru [дёти точка ру] предлагает картину "На привале" в качестве обложки к книге Стругацких "Пикник на обочине", портрет Буша-младшего — для обложки "Идиота" Достоевского. Назовите автора романа, обложкой к которому может послужить изображение спокойного и невозмутимого Марлона Брандо.
Как вы уже знаете, один из коллажей на сайте www.dirty.ru [дёти точка ру] предлагает картину "На привале" в качестве обложки к книге Стругацких "Пикник на обочине", портрет Марлона Брандо — для обложки "Тихого Дона" Шолохова. Назовите автора произведения, обложкой к которому может послужить изображение автомобиля Формулы-1.
[Чтецу: слово "ИГРЕКА" нужно прочитать с ударением на последний слог.]
Послушайте стихотворение Василия Татаринова, в котором есть замены.
"Хотя Амур и злюка,
Спасибо, что пока
Стреляет он из ИКСА,
А не из ИГРЕКА".
Назовите ИКС и ИГРЕК в правильном порядке.
ПЕРВАЯ происходит от латинского слова "война", ВТОРОЙ — от французского слова "двойной". Если в ПЕРВОЙ заменить стоящую строго посередине гласную букву на согласную получится ВТОРОЙ. Во время съемок фильма "Лермонтов" понадобилось несколько ВТОРЫХ, чтобы снять ПЕРВУЮ. Назовите ПЕРВУЮ и ВТОРОЙ.
Однажды, вернувшись из отпуска, Джейб Блюменталь обнаружил, что не может попасть в свой офис. Дело было в том, что его коллеги замаскировали вход в него так, что Джейбу не оставалось ничего другого, кроме как воспользоваться ЭТИМ. Впрочем, ничего удивительного, чем же еще было пользоваться Джейбу, как не ЭТИМ. Назовите компанию, в которой работал Джейб Блюменталь.
Не так давно в Смоленске прошел конкурс на звание лучшей супружеской пары 2005 года. Но одна из пар-финалистов вынуждена была отказаться от участия в заключительном танцевальном вечере — супруга призвали в армию. Рассказывая об этом, журналист Олег Петров употребил известную фразу Александра Сергеевича, в которой поменял местами второе и четвертое слова. Получившаяся фраза позволяла предположить, что молодого человека призвали служить на флот. Воспроизведите эту получившуюся фразу.
На маленьком острове Портленд, что у побережья Великобритании, из-за старинного местного поверья никогда не называют ЕГО вслух. Если рабочий видел ЕГО в окрестностях своего карьера, то уходил домой до следующего дня, ведь ЕГО "деятельность" часто служит причиной оползней. На острове ЕГО даже называют иносказательно: "подземная овечка" или "мохнатое существо", так что прокатчикам вышедшего осенью 2005 года мультфильма пришлось напечатать отдельный плакат для Портлендских кинотеатров. Назовите любое из двух собственных имен, упомянутых в заглавии этого мультфильма.
Летние сцены фильма "Берегись автомобиля", опасаясь холодов в Москве, отправились снимать в Одессу. Но холодно было и там. Во время съемки проходов по улице Эльдар Рязанов просил актеров НЕ ДЕЛАТЬ ЭТОГО. А мы ДЕЛАЕМ ЭТО прямо сейчас. Назовите глагол, который мы заменили словами "ДЕЛАТЬ ЭТО".
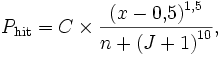
P(hit) — вероятность попадания штурмовика в героя;
n — число злодеев, участвующих в бою;
x — число положительных героев.
Эффектом штурмовика называют кинематографическое клише, заключающееся в том, что второстепенные герои в голливудских блокбастерах неадекватно слабы в бою с главными героями. Некоторые шутники даже вывели формулу, описывающую эффект штурмовика. Посмотрите на эту формулу, и скажите, что в ней обозначает литера "J".
В древности город Торжок носил название Новый Торг, от чего происходит нынешнее самоназвание его жителей. Это самоназвание лишь одной буквой отличается от слова, которым можно назвать Уолта Уитмена или Александра Скрябина. Назовите это слово.
[Чтецу: слегка, не переигрывая, выделить интонационно слово "искореняет" во втором предложении.]
Плиний писал, что ужасные бедствия грозят тому, кто вырвет из земли ЕГО обладательницу вместе с НИМ самим. Также считалось, что ОН искореняет и уничтожает все, до чего сможет достать. Александр Васильев утверждал, что ОН был сочный и сладкий и отводил все несчастья и ссоры. Назовите ЕГО двумя словами.
Если верить легендам, своим названием ОНА обязана общественным баням, которые когда-то строились на ее берегах. На самом деле ЕЕ название восходит к финскому "грязь", "слякоть". ЕЕ поиски на www.yandex.ru [яндекс точка ру] позволили нам найти ссылки на продукцию фирм "Керхер" и "Бланко". Назовите ЕЕ.
Мысль написать оперу на текст пушкинского "Каменного гостя" возникла у Даргомыжского в 1863 году. Не будучи уверен в успехе, он поначалу рассматривал свою работу как опыт, творческую "разведку". Действительно опыт, учитывая, как он решил поступить с текстом Пушкина. Точно так же поступил редактор с первыми тремя предложениями этого вопроса. Ответьте как можно более точно, как поступил?
Этим вопросом мы хотим закончить смоленский тур Центрально-Европейской лиги.
В 1903 году, заканчивая свое выступление, посвященное неудачной реализации "моторизованной кареты Вартбург" Генрих Эрхардт, сам еще не зная об этом, придумал название для первого BMW. Разбив это название на слоги, можно получить Ричарда и ноту. Хорошо известно это название и нам. Воспроизведите его через минуту.