Гран-при им. Г.В. Плеханова

Вопросов
48
Начало
Окончание
Опубликован
Команд
47
Сложность trueDL
4.4
Редактор · Серафим Шибанов
Редактор благодарит за помощь в работе над пакетом, тестирование и ценные советы Ивана Бондарева, Дмитрия Заусаева, Елену Королёву, Вадима Кузмича, Антона Лобачёва, Максима Мерзлякова, Ивана Нерушина, Галину Пактовскую, Владимира Сушкова и Игоря Тюнькина.
В середине 2000-х годов в Японии были популярны романы, в которых каждая из глав умещалась обычно в 70-100 слов. Обусловлено это было тем, что романы читали при помощи НИХ. Одна из ИХ разновидностей называется так же, как и мебель. Назовите ИХ двумя словами.
Пол Уокер, звезда серии фильмов "Форсаж", как-то сказал: "Если однажды ОНА убьет меня — не плачьте, потому что я улыбался". ОНА входит в название серии компьютерных игр. Назовите эту серию.
На одной карикатуре стоящий перед НИМИ недалекий полицейский отмечает, что жертву жестоко изрубили на множество кусков. Назовите ИХ.
Агент ФБР из американского романа в числе факторов, влияющих на превращение человека в серийного убийцу, упоминает отравление ИМ и уточняет, что речь идет о химическом веществе. Назовите ЕГО двумя словами.
Раздаточный материал:
ксвоинлибнасаа
По легенде, во времена турецкого владычества захватчики отнимали у болгар еду. Местные жители в ответ начали добавлять в ПЕРВУЮ ВТОРУЮ. Так появилась лукАнка — национальная болгарская еда. Назовите ПЕРВУЮ и ВТОРУЮ.
В 2014 году Бразилия объявила об изменении дизайна своих денег. Власти заявили, что новая купюра самого большого достоинства — 100 реалов — будет украшена изображением легендарного футболиста Пеле. В какой день об этом было объявлено?
Алессандро в 1768 году установил в Комо первый в истории города ИКС, колокольчики которого звенели в определенных обстоятельствах. Назовите ИКС словом с двумя корнями.
Герой Анатолия Рыбакова водит дружбу с нэпманом, однако замечает, что готов сидеть вместе с тем в ресторане, но не на НЕЙ. Назовите ЕЕ двумя словами.
[Ведущему: заранее положить в карман предмет, являющийся ответом.] В Средние века ЕЕ называли "аргине", что является анаграммой слова "регина", т.е. "королева". ОНА сейчас лежит в кармане у ведущего. Назовите ЕЕ двумя словами одинаковой длины.
Раздаточный материал:
Вопрос 10 Раздаточный материал
[Ведущему: нижняя часть раздаточного материала (там, где женщины) должна быть аккуратно порвана между любыми двумя женщинами; надрыв должен не затрагивать черное поле с зелеными вкраплениями цифр.] Среди побратимов зашифрованного города есть Варшава, Ереван, Иерусалим и Кишинев. Назовите этот город.
Элизабет Тейлор говорила: "Я специально скрещиваю ноги, когда сижу, чтобы люди могли видеть ИХ". Кто в 2011 году через суд отстаивал эксклюзивное право на ИХ использование?
ОлжАс СулеймЕнов в своем произведении начала 1960-х, обращаясь к НЕМУ, говорит: "Ты оторвал от земли историю человека". Назовите ЕГО.
Редактор · Серафим Шибанов
Редактор благодарит за помощь в работе над пакетом, тестирование и ценные советы Ивана Бондарева, Дмитрия Заусаева, Елену Королёву, Вадима Кузмича, Антона Лобачёва, Максима Мерзлякова, Ивана Нерушина, Галину Пактовскую, Владимира Сушкова и Игоря Тюнькина.
Борис Ильич предложил применить антисептический препарат, который предупреждает процессы высыхания тканей и изменения кожи. Назовите место в Москве, где можно посмотреть на результат его работы.
Рыцаря из повести Джорджа Мартина звали Файерболлом, поскольку он был ТАКИМ. ТАКИМ был герой более короткого произведения. Ответьте точно: какое преступление этот герой якобы совершил?
Дуплет. 1. Герой американского романа отмечает, что у НЕЕ "хорошенькая юбочка". Назовите ЕЕ двумя словами. 2. Героиня американского романа недовольна тем, как ее покрасили в рыжий цвет, и упоминает ЕГО. Назовите ЕГО двумя словами.
Согласно одной шутке, Ко Ён Хи, увидев своего будущего мужа, произнесла фразу, которая лишь на одну букву короче строчки из известной песни. Кто эту песню исполняет?
ЕЕ девизом одно время была фраза "По одежке встречают. А значит, и судят!". Напишите ЕЕ название.
58-я церемония награждения прошла 15 февраля 2016 года. По три награды достались группам "Alabama Shakes" [алабама шэйкс] и "The Vanguard" [зе вангад]. Сам приз представляет собой небольшой ПРОПУСК. Заполните пропуск названием другой награды.
В ноябре 2015 года несколько футболистов московского "Спартака" в течение одного дня поработали ТАМ. ТАМ работала и главная героиня фильма 1962 года. Назовите этот фильм.
Латинская империя — государство со столицей в Константинополе, созданное крестоносцами на территории Византии в 1204 году. Сами жители называли страну словом, которое в английском языке является омографом ныне существующей страны. Какой именно страны?
Семен Экштут пишет, что несколько поколений русской интеллигенции предпочитали не искать реальный выход из трудных жизненных ситуаций, а испытывать ЕГО. Назовите автора "ЕГО".
В одном комиксе ПЕРВЫЙ просит ВТОРОГО выпустить его, но в ответ слышит: "Я решаю, кого выпускать, а кого — нет". Назовите двумя словами ПЕРВОГО и двумя словами ВТОРОГО.
В песне о Дальнем Востоке ТАКОЙ ОН шумит, а лирический герой задается вопросом, почему ОН ТАКОЙ, если всё же шумит. Что мы заменили словами "ТАКОЙ ОН"?
В другом ЕГО названии присутствовало слово "коренной", а ЕГО результатом часто становилась чересполосица в крестьянских владениях. Назовите того, кто основал "ЕГО" в конце 1870-х.
Редактор благодарит за тестирование и ценные замечания: Вадима Яковлева, Ивана Ефремова, Ирину Проскурину, Константина Хмелинина, Кирилла Фролова (все - Москва), Ивана Митрофанова (Щёлково), Екатерину и Максима Кузнецовых, а также Артема Чернея (все - Владимир).
Компьютерная программа "Электрический карандаш" появилась уже в 1975 году, на восемь лет раньше ее известного аналога. Таким образом, можно сказать, что "Электрический карандаш" опровергает известное утверждение. Напишите это утверждение из четырех слов.
Раздаточный материал:
rosenkavalier
[Ведущему: прочитать первые шесть слов вопроса, затем объявить о наличии раздаточного материала, а после раздачи перечитать вопрос с начала.] Критикуя отнюдь не пожилого Рихарда Штрауса, Игорь Стравинский парадоксально добавил к оригинальному названию его оперы "Кавалер розы" несколько букв. Напишите эти буквы.
Псевдоним, выбранный Николаем БарАшко, по одной из версий, объясняется тем, что он являлся большим поклонником Ника Рок-н-Ролла и Майка Науменко. Назовите этот псевдоним.
Внимание, в вопросе ИКС — замена. Какая аббревиатура была впервые использована в аналитической записке "ИКСЫ для строительства новой мировой экономики"?
В одной из серий мультсериала "Футурама" роботу, попавшему в загробный мир, говорят, что теперь его программное обеспечение будет использовано для НИХ. Согласно одному опросу, 51 процент людей считает, что на НИХ может повлиять ненастная погода. Назовите ИХ двумя словами.
Персонаж сериала "Сверхъестественное" рассказывает, что был на Ближнем Востоке и пару раз в Германии, а на встречу с тремя родственниками отправился из Дарфура. Назовите этого персонажа.
Раздаточный материал:
Change the world
Перед вами фраза с листовки одной партии, в которой мы заменили букву. Мы не спрашиваем, что это за буква. Назовите человека, изображенного на той же листовке.
Раздаточный материал:
Вопрос 32 Раздаточный материал
На раздатке можно увидеть ИХ, которые принесли известность изображенной на фото женщине. Назовите ИХ.
Друг автора вопроса рассказывал, что однажды руководство Суздальского гончарного двора, увидев объявление об одном фестивале, повезло свою продукцию аж в Смоленскую область. Приехав на место проведения фестиваля, суздальцы сильно удивились, увидев множество людей во фраках. А чье имя носил этот фестиваль?
Британский сериал "Жизнь на Марсе" назван в честь песни Дэвида Боуи. Российская адаптация этого сериала показывает, что многие вещи не так просты, как кажутся. Мы не спрашиваем, как называется российская адаптация сериала. Пластинку какой группы в одной из серий находит главный герой?
Панк-группа "F.P.G." [эф пи джи] в своих песнях воспевает силу духа, бесстрашие, честность и самоотверженность. Александр ПАршиков назвал стиль, в котором играет группа "F.P.G.", "биопанк". В одном из слов предыдущего предложения мы пропустили три буквы и дефис. Восстановите измененное слово.
Накануне президентских выборов 2000 года избирательный штаб ТАрьи ХАлонен обратился к гражданам Финляндии с необычным призывом: "Сберегите государству 10 миллионов евро. Выберите ТАрью ХАлонен!". Какие три слова мы пропустили в предыдущем предложении?
Редактор благодарит за тестирование и ценные замечания: Вадима Яковлева, Ивана Ефремова, Ирину Проскурину, Константина Хмелинина, Кирилла Фролова (все - Москва), Ивана Митрофанова (Щёлково), Екатерину и Максима Кузнецовых, а также Артема Чернея (все - Владимир).
В книге Сергея Довлатова заключенный рассказывает, как когда-то он работал врачом и к нему пришел пациент с жалобой на одышку. Он попросил пациента раздеться, после чего заключил: "Скверная у Вас АЛЬФА", вскоре после чего врача арестовали. Какое слово латинского происхождения мы заменили словом "АЛЬФА"?
Раздаточный материал:
In Ja k London's story a sa k of raw potatoes onfisated from one of the itizens res ued the amp from it. All it with a single word.
В рассказе Джека Лондона конфискованный у одного из жителей мешок сырой картошки спас лагерь от НЕЕ. Назовите ЕЕ одним словом.
В середине XIX века ИКС в Россию привозили в ящиках с двойным дном и даже в бюстах Николая I. Другой известный ИКС был привезен в Москву в 1478 году. Назовите ИКС.
В Средние века пираты Северного моря наводили ужас на купеческие корабли. Что интересно, и сейчас фанаты гамбургского футбольного клуба "Санкт-Паули", чье прозвище — "пираты", особенно сильно враждуют с фанатами клуба "АЛЬФА" из другого немецкого портового города. Какое слово мы заменили словом "АЛЬФА"?
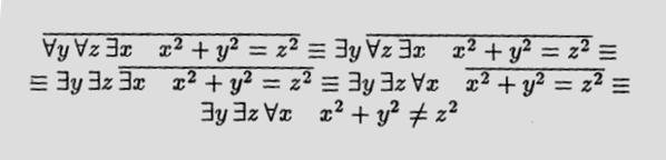
Раздаточный материал:
Вопрос 41 Раздаточный материал
Перед вами формула из учебника дискретной математики. Говоря о черте отрицания, автор учебника в комментарии к этой формуле упоминает название романа первой половины XIX века. Назовите этот роман.
Первый гибридный автомобиль Ламборгини получил название "АстЕрион". Назовите персонажа известного сюжета, который, согласно гипотезе Карла КЕреньи, носил имя АстЕрион.
В титрах одного из выпусков передачи "Top Gear" [топ гир] имена всех участников съемочной группы были заменены на начинающиеся на одну и ту же букву первое и второе имя известного уроженца Детройта — пятикратного обладателя "Оскара". А в какой азиатской стране проходили съемки этого выпуска?
Режиссер Анджей Вайда снял фильм "Дантон" в 1982 году. В фильме показано противостояние Робеспьера, придерживающегося радикальных взглядов, и более либерального Дантона. Примечательно, что сторонников Дантона сыграли ИКСЫ, а сторонников Робеспьера — ИГРЕКИ. Ответьте в правильном порядке: кого мы заменили на ИКСОВ и ИГРЕКОВ?
Футболист Федор Смолов долгое время был предметом насмешек из-за невразумительного футбола в его исполнении, а также гламурного образа жизни, однако в последнее время он буквально преобразился. Кроме того, выяснилось, что Федор любит классическую литературу. Один из пользователей сайта sports.ru по этому поводу пошутил: "Федор наконец-то отложил "ИКСА" и принялся за чтение "ИГРЕКА"". Назовите ИКСА и ИГРЕКА, начинающихся на одну и ту же букву.
[Ведущему: читать цитату медленно, под запись; отчетливо произнести фамилию ВалЕтин; не упоминать, что слово "Деревня" взято в кавычки.] Внимание, в вопросе есть замена. Чехов писал: "... были бы у меня деньги — купил бы я у ВалЕтина его "Деревню", серенькую, жалконькую, но такой от нее веет прелестью, что оторваться нельзя". Какую фамилию мы заменили в предыдущем предложении?
[Ведущему: сделать логическую паузу после слов "Конец детства".] На сцену контакта пришельцев с жителями Земли в романе "Конец детства" Артура Кларка вдохновили ОНИ, увиденные писателем в Лондоне в 1941 году. Для борьбы с НИМИ на ведущую кромку иногда крепились С-образные приспособления с лезвиями. Назовите ИХ двумя словами.
[Ведущему: сделать логическую паузу после названия группы и постараться не засмеяться во время чтения вопроса. :-)] В песнях группы "Кобыла и трупоглазые жабы искали цезию, нашли поздно утром свистящего хна" носорог вместо шерсти покрывается селедкой, крокодиловый робот утопает в сгущенке, а ракообразные князья идут на бой. Используя две буквы, назовите клуб, в котором в 2014 году группа дала один из своих концертов.
60